EasyManua.ls Logo

Sony DSC-S75 - Page 95

Sony DSC-S75
105 pages
Print Icon
To Next Page IconTo Next Page
To Next Page IconTo Next Page
To Previous Page IconTo Previous Page
To Previous Page IconTo Previous Page
Loading...
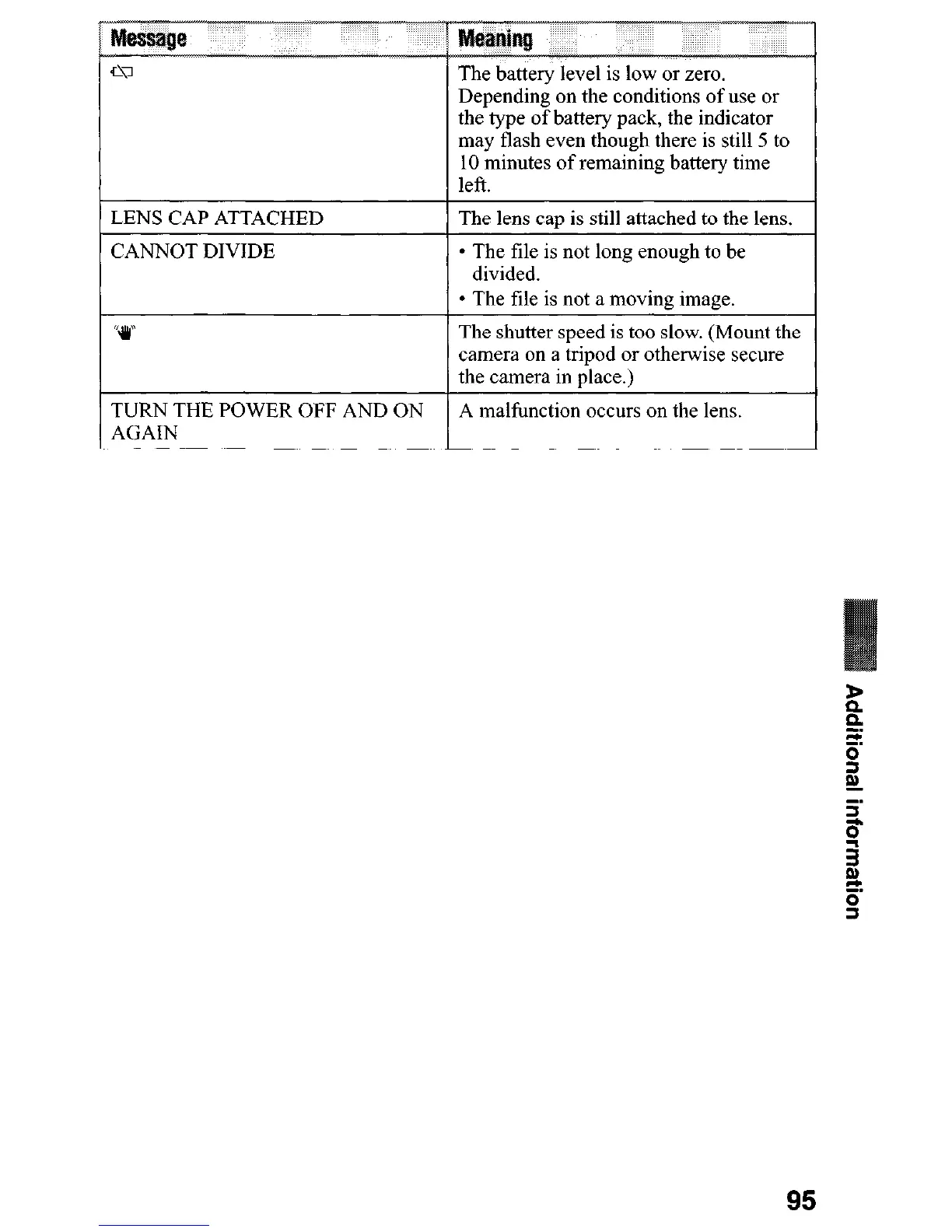
The battery level is low or zero.
Depending on the conditions of use or
the type of battery pack, the indicator
may flash even though there is still 5 to
10 minutes of remaining battery time
left.
1 LENS CAP ATTACHED 1 The lens can is still attached to the lens. 1
CANNOT DIVIDE
l
The file is not long enough to be
divided.
l
The file is not a movine image.
w
The shutter speed is too slow. (Mount the
camera on a tripod or otherwise secure
the camera in place.)
A malfunction occurs on the lens. TURN THE POWER OFF AND ON
AGAIN
95

Table of Contents

Other manuals for Sony DSC-S75

Related product manuals