EasyManua.ls Logo

X-Rite Ci62 - Power Save Modes; Charging the Battery Pack

X-Rite Ci62
75 pages
Print Icon
To Next Page IconTo Next Page
To Next Page IconTo Next Page
To Previous Page IconTo Previous Page
To Previous Page IconTo Previous Page
Loading...
CI6X SERIES SPECTROPHOTOMETER
11
Power Save Modes
The instrument utilizes two power save modes to conserve battery life during nonuse times. The
power save mode option is preset in the Configuration Mode.
Standby Mode: The instrument is ready to measure, however the display is not on. A button
press, measurement, power connection (if not connected), or USB connection will wake up the
instrument.
Off Mode: The power button must be pressed to wake up the instrument before a measurement
can be taken. Plugging in the AC adapter will also wake up the instrument from power off mode.
Off mode does not occur when the AC adapter is attached to the instrument.
Charging the Battery Pack
General
The battery pack for your new instrument comes in a low to medium charge state and should be
charged before use (up to 4 hours for full charge).
A charged battery pack may eventually lose partial charge if not used for an extended amount of
time. You should charge the battery from time to time and store in a cool environment when not
in use to maintain battery performance.
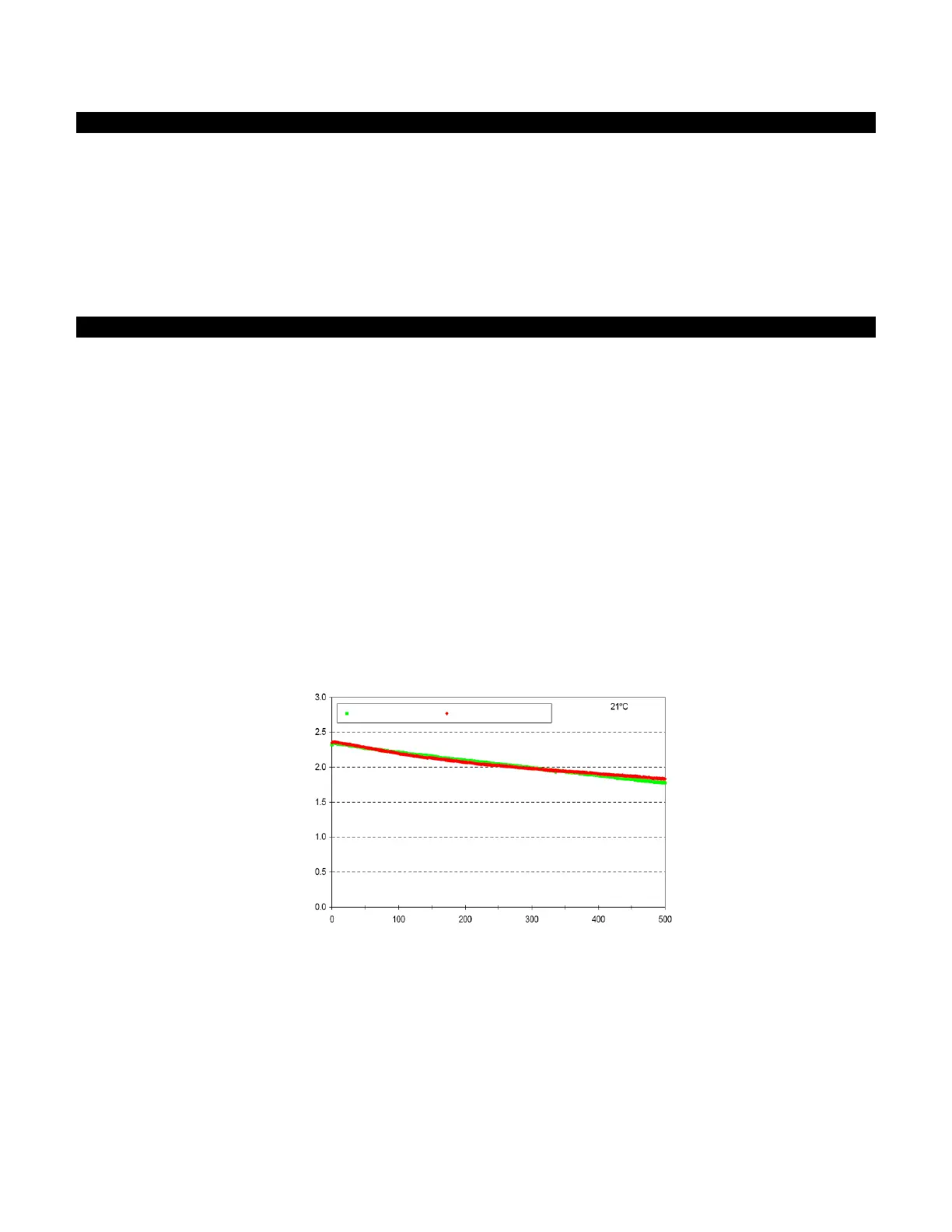
Lifespan Expectations
Lithium-ion batteries typically decay to 80% capacity after 400 charge cycles (see chart on next
page). A charge cycle can be defined as several partial charges equaling 100%. Partial charge and
discharge cycles will help maintain the life of the battery. It is best to avoid full discharge and
charge cycles. After roughly 400 charge cycles are reached, the amount of measurements you
can expect to achieve from one full charge is reduced. At this point, you may wish to replace the
battery pack.
Disposal
Dispose the battery pack in a designated disposal location for recycling.
Cycle Life Characteristics
Cycles
1.0 C Discharge
C/2 Discharge
1.25 A CC/CV Charge, 4.2 V, 3 hrs.
Capacity (Ah)

Table of Contents

Related product manuals