EasyManua.ls Logo

Yamaha Programmable Mixer 01 - Processor Type: Gate

Yamaha Programmable Mixer 01
154 pages
Print Icon
To Next Page IconTo Next Page
To Next Page IconTo Next Page
To Previous Page IconTo Previous Page
To Previous Page IconTo Previous Page
Loading...
70 Chapter 8: Dynamics Processors
ProMix 01 User’s Guide
Gate
A gate, or noise gate is essentially an audio switch used to mute signals
below a set threshold level. It can be used to cut background noise
picked up by open microphones, noise and hiss from guitar valve
amps and effects pedals, and leakage between drum microphones. It
also has many creative uses too. For example, gating a drum sound
with a short decay time tightens up the sound. Also, patching a gate
into a droning bass synth channel and then triggering it from the kick
drum channel allows the bass synth through only when the kick drum
is struck, adding extra wallop on the beat.
Gate parameters are:
Threshold (–50...+10dB) — This determines the level at which the
gate closes, cutting off the signal. Signals above the threshold level
pass through unaffected. Signals at or below the threshold, however,
cause the gate to close. The trigger signal is sourced using the KEY IN
parameter.
Attack (0–120ms) — This determines how fast the gate opens when
the signal exceeds the threshold level. Slow attack times can be used
to remove the initial transient edge of percussive sounds. Too slow an
attack time makes some sounds appear backwards.
Hold (3–341ms) — This determines how long the gate stays open
once the trigger signal has fallen below the threshold level.
Decay (85ms–10.9s) — This determines how fast the gate closes
once the hold time has expired. A longer decay time produces a more
natural gating effect, allowing the natural decay of an instrument to
pass through. With a maximum decay time of 10.9 seconds, you could
even use this for fade-outs.
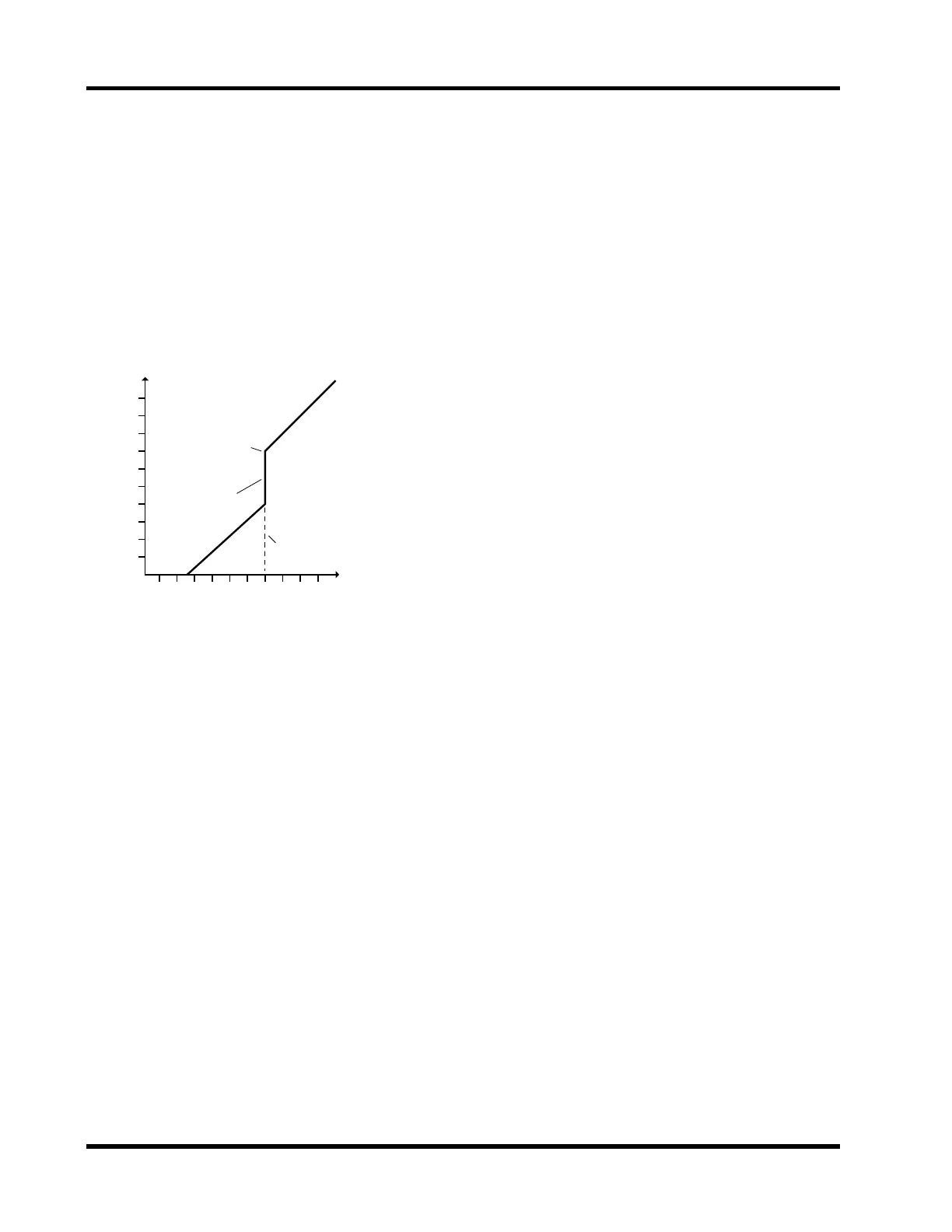
Range (–80dB...0dB) — This determines the level to which the gate
closes. Think of it as a brick holding a garden gate open so that a cer-
tain amount of signal always flows through. For a setting of –80dB,
the gate closes completely when the input signal falls below the
threshold. For a setting of –30dB, however, the gate only closes so far.
For a setting of 0dB, the gate has no effect. When signals are gated
abruptly, the sudden disappearance can sometimes sound odd. This
parameter causes the gate to reduce the signal level rather than cut it
completely.
-70 -60 -50 -40 -30 -20 -10 0 +10+20
-70
-60
-50
-40
-30
-20
-10
0
+10
+20
dB
dB
Output level
Input level
Range = -80dB
Threshold = -10dB
Range = -30dB

Table of Contents

Other manuals for Yamaha Programmable Mixer 01

Related product manuals