EasyManua.ls Logo

YASKAWA CACR-SR BB1 Series - Page 42

YASKAWA CACR-SR BB1 Series
81 pages
Print Icon
To Next Page IconTo Next Page
To Next Page IconTo Next Page
To Previous Page IconTo Previous Page
To Previous Page IconTo Previous Page
Loading...
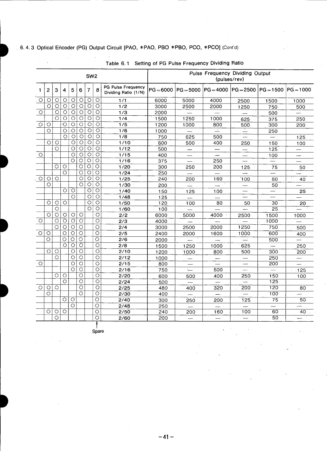
I 6.4.3 Optical Er_coder (PG) Output Circuit [PAO, _PAO, PBO _PBO, PCO, ,I,PCO] (Conrd)
Table 6.1 Setting of PG Pulse Frequency Dividing Ratio
SW2 Pulse Frequency Dividing Output
(pulses/rev)
1 2 3 4 5 6 7 8 PG Pulse Frequency PG=6000 PG=5000 PG=4000 lpG=2500 PG=1500 PG=looo
Dividing Ratio (l/N)
0 0 0 0 0 0 0 0 1/1. 6000 5000 4000 2500 1500 1000
0 0 0 0 0 0 0 1/2 3000 2500 2000 1250 750 500
0 0 0 0 0 0 0 1/3 2000 -- -- -- 500 --
0 0 0 0 0 0 1/4 1500 1250 1000 625 375 250
0 0 "0 0 0 0 0 1/5 1200 1000 800 500 300 200
0 0 .0 0 0 0 1/6 1000 -- " . -- . 250
0 0 0 0 0 1/8 750 625 500 .... 125
0 0 0 0 0 0 1/10 600 500 400 250 150 100
0 0 0 0 0 1/12 500 ..... 125 --
Oi 0 0 0 0 1/15 400 ..... 100 --
I 0 0 0 0 1/16 375 250 ......
0 0 00. 0 1/20 300 250 200 125 75 50
0 0 0 0 1/24 250 ..........
Oi 0 0 0 0 0 1/25 240 200 160 100 60 40
0 0 0 0 1/30 200 ' 50 --
0 0 0 0 1/40 150 125 100 ..... 25
0 0 0 1/48 125 ....... " -- ' --
0 0 0 0 0 1/50 120 100 80 50 30 20
0 0 0 1/60 100 ....... 25 -- "
0 0 0 0 0 0 2/2 6000 5000 4000 2500 1500 1000
I 0 0 0 0 0 0 2/3 4000 ........ . 1000 , --
0 0 0 0 0 2/4 3000 2500 2000 1250 750. 500
© © © © © © 2/5 2400 2000 1600 1000 600 400
0 0 0 0 0 2/6 2000 ..... 500 . --
0 0 0 0 2/8 1500 1250 1000 625 -- 250
0 0 0 0 0 2/10 1200 1000 800 500 300 200
0 0 0 0 2/12 1000 ..... 250 . --
0 0 0 0 2/1 5 800 ..... 200 . --
0 0 0 2,/16 750 "--- 500 -- -- .125
0 0 0 0 2/20 600 500 400 250 150 100
0 0 0 2/24 500 -- -- -- 125
t 0 0 0 0 0 2/25 480 400 320 200 120 80
0 0 0 2/30 400 -- -- -- 1O0 --
© © © 2/40 300 250 200 125 75 50
0 0 2/48 250 ....
0 0 0 0 2/50 240 200 160 100 60 40 .
0 0 2/60 200 -- -- -- 50 --
Spare -
-41 -
J

Related product manuals