EasyManua.ls Logo

ABB REF615 J - Page 187

ABB REF615 J
896 pages
Print Icon
To Next Page IconTo Next Page
To Next Page IconTo Next Page
To Previous Page IconTo Previous Page
To Previous Page IconTo Previous Page
Loading...
A070554 V1 EN
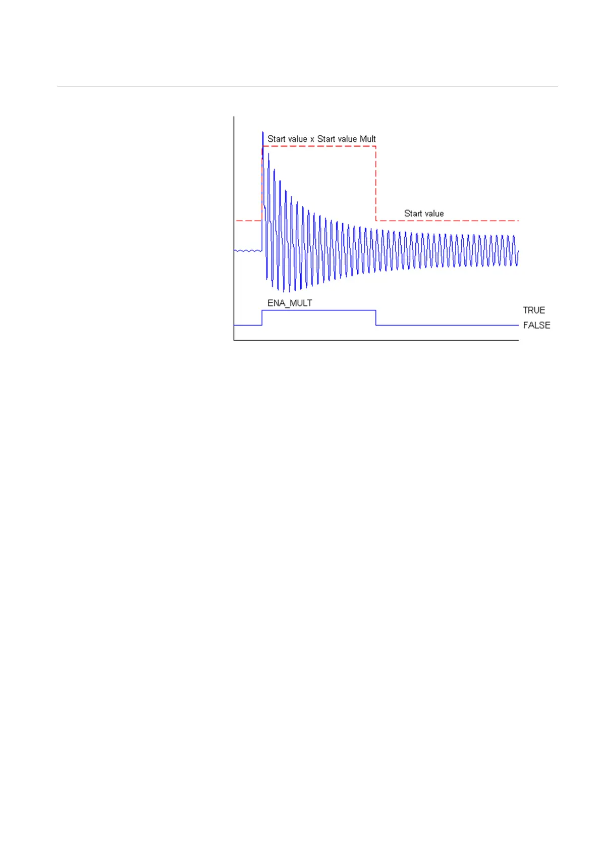
Figure 87: Start value behavior with
ENA_MULT
input activated
Phase selection logic
If the fault criteria are fulfilled in the level detector and the directional calculation,
the phase selection logic detects the phase or phases in which the measured current
exceeds the setting. If the phase information matches the Num of start phases
setting, the phase selection logic activates the timer module.
Timer
Once activated, the timer activates the START output. Depending on the value of
the Operating curve type setting, the time characteristics are according to DT or
IDMT. When the operation timer has reached the value of Operate delay time in
the DT mode or the maximum value defined by the inverse time curve, the
OPERATE output is activated.
When the user-programmable IDMT curve is selected, the operation time
characteristics are defined by the parameters Curve parameter A, Curve parameter
B, Curve parameter C, Curve parameter D and Curve parameter E.
If a drop-off situation happens, that is, a fault suddenly disappears before the
operate delay is exceeded, the timer reset state is activated. The functionality of the
timer in the reset state depends on the combination of the Operating curve type,
Type of reset curve and Reset delay time settings. When the DT characteristic is
selected, the reset timer runs until the set Reset delay time value is exceeded. When
the IDMT curves are selected, the Type of reset curve setting can be set to
"Immediate", "Def time reset" or "Inverse reset". The reset curve type "Immediate"
1YHT530004D05 D Section 4
Protection functions
615 series 181
Technical Manual

Table of Contents

Related product manuals