EasyManua.ls Logo

Argo AG4HP061PH - Installation of Hydraulic Unit; Available External Static Pressure of Outlet

Argo AG4HP061PH
64 pages
Print Icon
To Next Page IconTo Next Page
To Next Page IconTo Next Page
To Previous Page IconTo Previous Page
To Previous Page IconTo Previous Page
Loading...
Air-to-water Heat Pump
25
(4) Welding
If you should cut or weld the refrigerant system pipes in the process of maintaining, please follow the steps as below:
a. Shut down the unit and cut power supply
b. Eliminate the refrigerant
c. Vacuuming
d. Clean it with N
2
gas
e. Cutting or welding
f. Carry back to the service spot for welding
The refrigerant should be recycled into the specialized storage tank.
Make sure that there isn’t any naked flame near the outlet of the vacuum pump and it’s well-ventilated.
(5) Filling the refrigerant
Use the refrigerant filling appliances specialized for R32. Make sure that different kinds of refrigerant won’t contaminate
with each other.
The refrigerant tank should be kept upright at the time of filling refrigerant.
Stick the label on the system after filling is finished (or haven’t finished).
Don’t overfilling.
After filling is finished, please do the leakage detection before test running; another time of leak detection should be
done when it’s removed.
(6) Safety instructions for transportation and storage
Please use the flammable gas detector to check before unload and open the container.
No fire source and smoking.
Do comply with the local rules and laws.
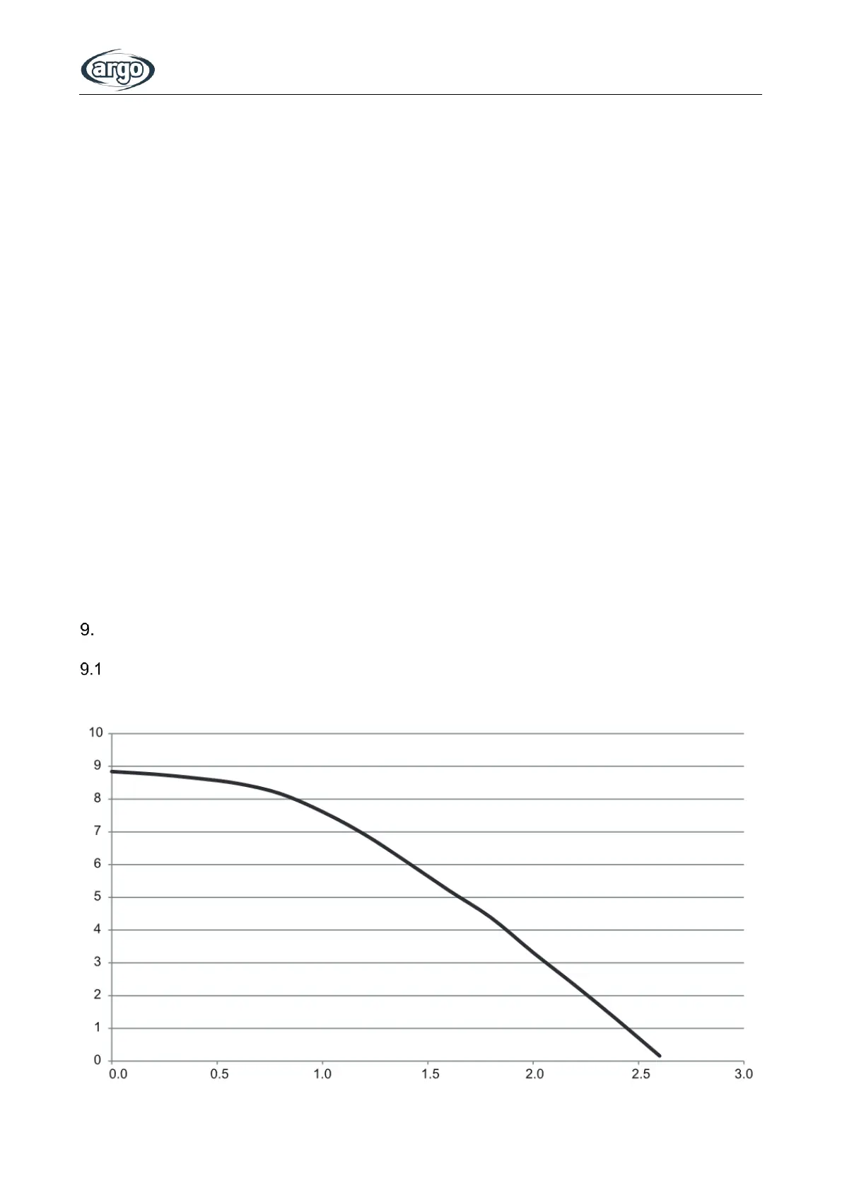
Installation of Hydraulic Unit
Available external static pressure of outlet
AG4HP061PH
Water flow (m3/h)
Available head
(m.c.a.)

Table of Contents

Related product manuals