EasyManua.ls Logo

Brainchild BTC-2500 - Page 6

Brainchild BTC-2500
142 pages
Print Icon
To Next Page IconTo Next Page
To Next Page IconTo Next Page
To Previous Page IconTo Previous Page
To Previous Page IconTo Previous Page
Loading...
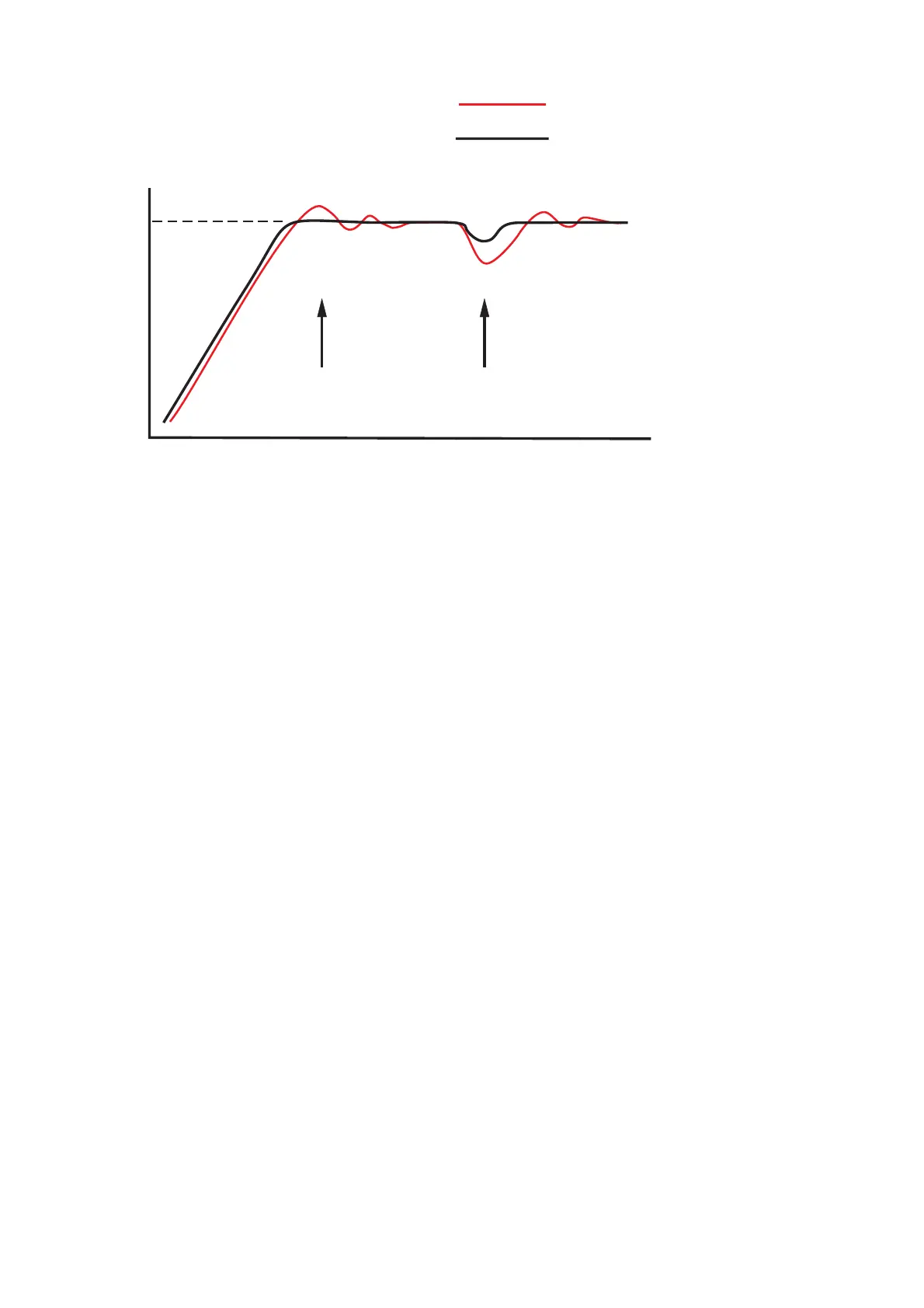
Warm Up
Load Disturbance
PID control with properly tuned
PID + Fuzzy control
Set point
Temperature
Time
Figure 1.2 Fuzzy PID
Enhances Control
Stability
Figure 1.2 Fuzzy PID
Enhances
Control
Stability
6
UM25001C

Table of Contents

Related product manuals