EasyManua.ls Logo

Canon PC-D340 - Page 121

Canon PC-D340
214 pages
Print Icon
To Next Page IconTo Next Page
To Next Page IconTo Next Page
To Previous Page IconTo Previous Page
To Previous Page IconTo Previous Page
Loading...
PC-D320/PC-D340/FAX-L400 Chapter 4: Maintenance and Service
4-41
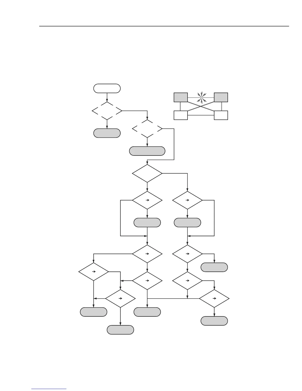
Procedures for processing communication problems with other manufacturer’s
facsimiles.
When problems occur with other manufacturer’s facsimiles, make the user of the
other party’s facsimile call the serviceman in charge. Perform communication at the
four points listed in the figure.
Figure 4-9 Flowchart for Processing Communication Troubles with
other manufacturer’s facsimile
FAX:A
Trouble
FAX:B
FAX:C FAX:D
Start
Is the group
the same?
(G1/G2/G3)
Unable to
receive
Is there the
similar
trouble case?
Process according
to the case
Transmitter
or receiver?
C A A C
Check A. Check A.
B C C B
Check B.
D C C D
D B
D A
B D
Check B.
Check B.
Call the service
station.
Call the service
station.
Yes
Yes
No
No
NG
OK OK
NG
OK NG
OK
NG
NG NG
OK
NG
OK
NG
OK
NG
OK
OK
Transmitter
receiver
A: Your customer's facsimile
B: Facsimile of other communication
party
C: Facsimile for check in the same
region. (C should be the same mode
of facsimile as A.)
D: Other manufacturer's facsimile for
check that is in the same region.

Table of Contents

Other manuals for Canon PC-D340

Related product manuals