EasyManua.ls Logo

Danfoss VLT 6000 HVAC - Page 14

Danfoss VLT 6000 HVAC
177 pages
Print Icon
To Next Page IconTo Next Page
To Next Page IconTo Next Page
To Previous Page IconTo Previous Page
To Previous Page IconTo Previous Page
Loading...
VLT
®
6000 HVAC
MG.60.B1.02 - VLT is a registered Danfoss trademark
14
Advanced motor protection
VLT 6000 HVAC features integrated electronic,
thermal motor protection.
The frequency converter calculates the motor
temperature on the basis of current, frequency and
time.
As opposed to the traditional bimetallic protection,
electronic protection takes account of the reduction
in cooling at low frequencies that comes from
reduced fan speed (motors with internal ventilation).
Thermal motor protection is comparable to a normal
motor thermistor.
To obtain maximum protection against overheating of
the motor if the motor is covered or blocked, or if the
fan fails, a thermistor can be integrated and
connected to the thermistor input of the frequency
converter (terminals 53/54), see parameter 117 Motor
thermal protection.
Advanced VLT protection
Current measurement on all three motor phases
provides perfect protection of VLT 6000 HVAC against
earthing and short-circuiting faults on the motor
connection.
Constant monitoring of the three motor phases
enables switching on the motor output, e.g. by
means of a contactor.
Efficient monitoring of the three mains supply phases
ensures that the unit trips in the case of phase failure.
This avoids overloading the inverter and the
capacitors in the intermediate circuit, which would
dramatically reduce the service life of the frequency
converter.
As standard, VLT 6000 HVAC features integral
temperature protection. If a thermal overload occurs,
this function cuts out the inverter.
Reliable galvanic isolation
In the VLT 6000 HVAC, all control terminals as well as
terminals 1-5 (AUX relays) are supplied by or
connected to circuits that comply with PELV
requirements in relation to the mains potential.
AEO - Automatic Energy Optimization
Normally, the U/f characteristics have to be set on the
basis of the expected load at different frequencies.
However, knowing the load at a given frequency in an
installation is often a problem. This problem can be
solved by using a VLT 6000 HVAC with its integral
Automatic Energy Optimization (AEO), which ensures
optimum energy utilization. All VLT 6000 HVAC units
feature this function as a factory setting, i.e. it is not
necessary to adjust the frequency converter U/f ratio
in order to obtain maximum energy savings. In other
frequency converters, the given load and voltage/
frequency ratio (U/f) must be assessed to carry out
correct setting of the frequency converter.
Using Automatic Energy Optimization (AEO), you no
longer need to calculate or assess the system
characteristics of the installation, since Danfoss VLT
6000 HVAC units guarantee optimum, load-
dependent energy consumption by the motor at all
times.
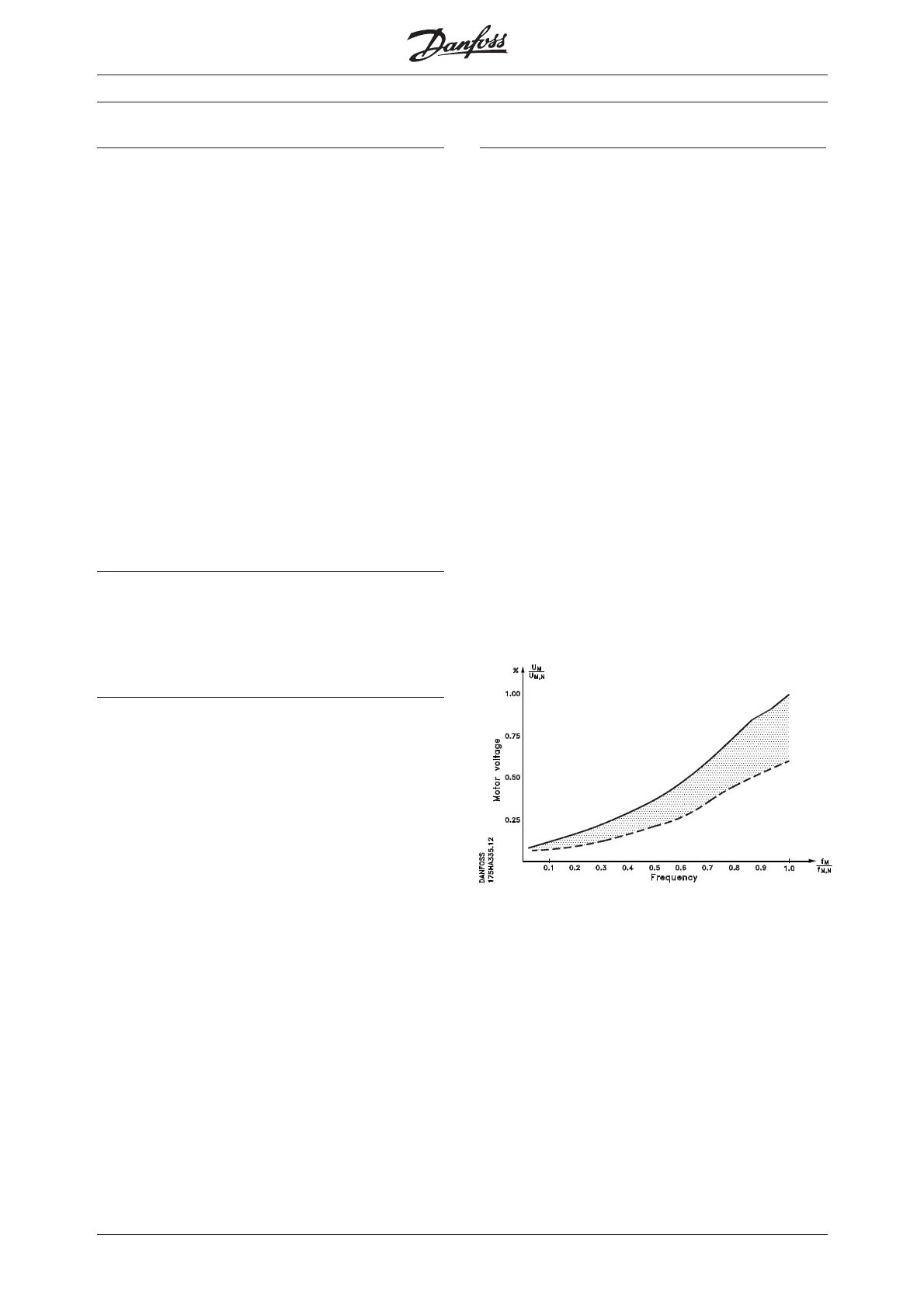
The figure illustrates the working range of the AEO
function, within which energy optimization is enabled.
If the AEO function has been selected in parameter
101, Torque characteristics, this function will be
constantly active. If there is a major deviation from the
optimum U/f ratio, the VLT frequency converter will
quickly adjust itself.
Advantages of the AEO function
Automatic energy optimization
Compensation if an oversize motor is used
AEO matches operations to daily or seasonal
fluctuations
Energy savings in a constant air volume system
Compensation in the oversynchronous working
range
Reduces acoustic motor noise

Table of Contents

Other manuals for Danfoss VLT 6000 HVAC

Related product manuals