EasyManua.ls Logo

DCS 954 - Operating Conditions; Figure 35 - Temperature Rise above Ambient for a Unit in a Stack of 3 with

DCS 954
89 pages
Print Icon
To Next Page IconTo Next Page
To Next Page IconTo Next Page
To Previous Page IconTo Previous Page
To Previous Page IconTo Previous Page
Loading...
dCS 954 User Manual Manual for Standard Software Version 1.5x
dCS Ltd June 2000
Manual part no: DOC136954 iss 2B1
Page 66
file 135954ma2b1.pdf available from website
Contact
dCS
on + 44 1799 531 999 email to: more@dcsltd.co.uk
(inside the UK replace + 44 with 0) web site: www.dcsltd.co.uk
Operating Conditions
The dCS 954 has no ventilation slots or fan cooling. It dissipates relatively low
power, so that usually allowing natural convection provides enough cooling in
most circumstances. It is sensible, however, to not install the unit near heat
sources such as radiators, hot air ducts or in direct strong sunlight.
Operating conditions should be such that internal temperature does not exceed
70°C substantially, as read out from the internal temperature sensor (see the
menu function Heat on page Error! Bookmark not defined.). This will tend to
be met if the ambient temperature is below 50°C, although it will depend a bit on
how the unit is positioned. Internal temperature should not fall below 0°C, and
should be a non-condensing. The unit monitors its internal temperature, and
displays one of two error messages as the temperature rises. At and above an
internal temperature of 78°C, the unit displays Hot on its front panel, as a
warning. Performance and reliability will be degraded if operated in this range
for long periods. At and above 88°C the unit displays Ouch, and should be
turned off. See section System Messages and Error Codes on page 77.
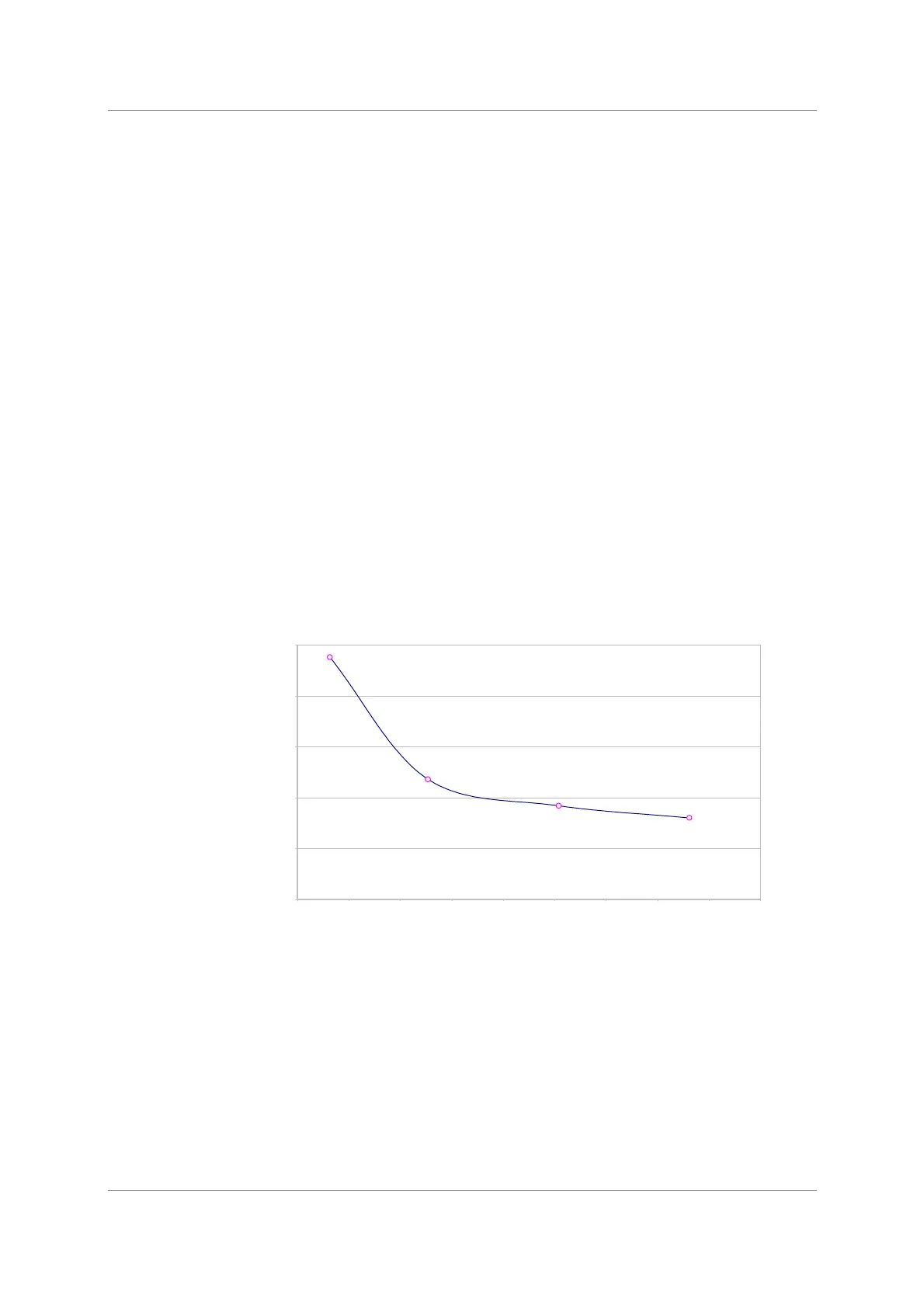
Figure 35 below shows the rise of internal temperature for the middle unit of
three stacked as in a rack, with support plates between. Allowing 3 cms
between units gives reasonable cooling.
If in doubt, the easy test is – the dCS 954 is happy to work anywhere a human is.
dC S 9xx
EXCESS TEMPERATURE
(Measured as
dC S 954
)
Middle unit of 3, in box with "shelf plates"
20
25
30
35
40
45
0123456789
Unit spacing (cms)
Excess temperature (deg C)
Figure 35 – Temperature rise above ambient for a unit in a stack of 3 with poor
ventilation

Table of Contents

Related product manuals