EasyManua.ls Logo

Delta ASD-B2-0421-B - Page 144

Delta ASD-B2-0421-B
345 pages
Print Icon
To Next Page IconTo Next Page
To Next Page IconTo Next Page
To Previous Page IconTo Previous Page
To Previous Page IconTo Previous Page
Loading...
ASDA-B2 Chapter 6 Control Modes of Operation
Revision May, 2018 6-33
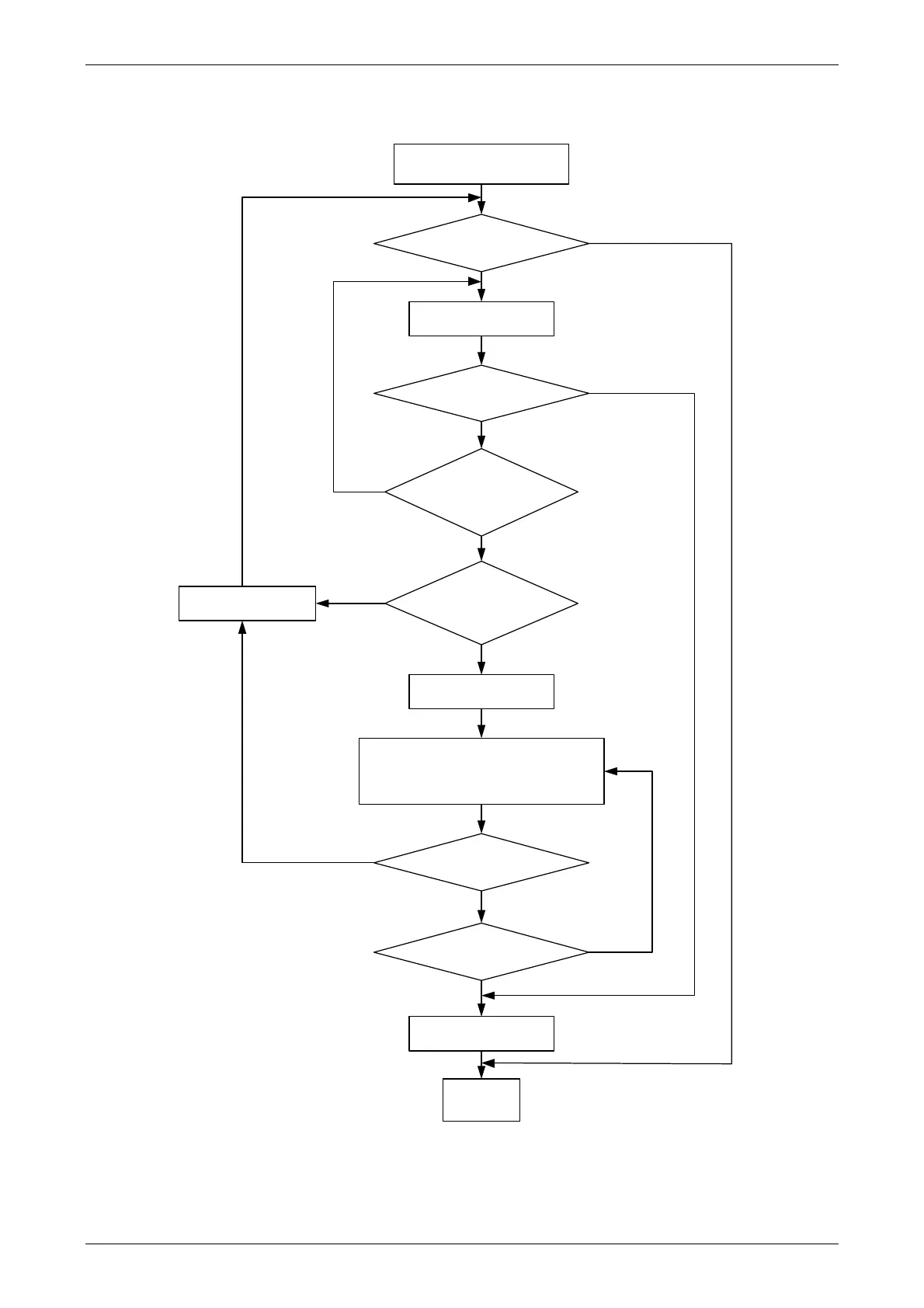
Flowchart of auto resonance suppression:
Check if vibration
occurs
Set P2-47 = 1
Set P2-47 = 1 for
three time
P2-44 = 32
or P2-46 = 32
If P2-44 >0, value of P2-44 should + 1
If P2-46 >0, value of P2-46 should + 1
Check if vibration
condition has improved
Complete
Drive the machine
by servo system
Check if vibration
occurs
Set P2-47 = 0
Check if vibration
occurs
Set P2-47 = 0
Decrease frequency
response
Yes
No
Yes
Yes
No
No
Yes
Yes
Yes
No
No
No

Table of Contents

Related product manuals