EasyManua.ls Logo

Diamond DA 42 - 7.9.2 Propeller

Diamond DA 42
400 pages
Print Icon
To Next Page IconTo Next Page
To Next Page IconTo Next Page
To Previous Page IconTo Previous Page
To Previous Page IconTo Previous Page
Loading...
DA 42 AFM Airplane Description
Doc. No. 7.01.05-E Rev. 8 15-Dec-2017 Page 7 - 29
7.9.2 PROPELLER
Two mt-Propeller MTV-6-A-C-F/CF187-129 hydraulically regulated 3-bladed constant
speed feathering propellers are installed. Each propeller has wood composite blades with
fiber-reinforced plastic coating and stainless steel edge cladding; in the region of the
propeller hub the leading edge is coated with adhesive PU foil. These blades combine
the lowest weight whilst minimizing vibration.
Propeller Control
The propeller pitch control system is integrated into the engine. The pitch is controlled
automatically by the ECU. To change the blade pitch angle gearbox oil is pumped into
the propeller hub. The oil pressure is regulated by an electrically operated valve, the
governor valve, which is controlled by the ECU. Increasing the oil pressure leads to a
decrease of pitch and a higher RPM. Decreasing the pressure leads to higher pitch and
a lower RPM.
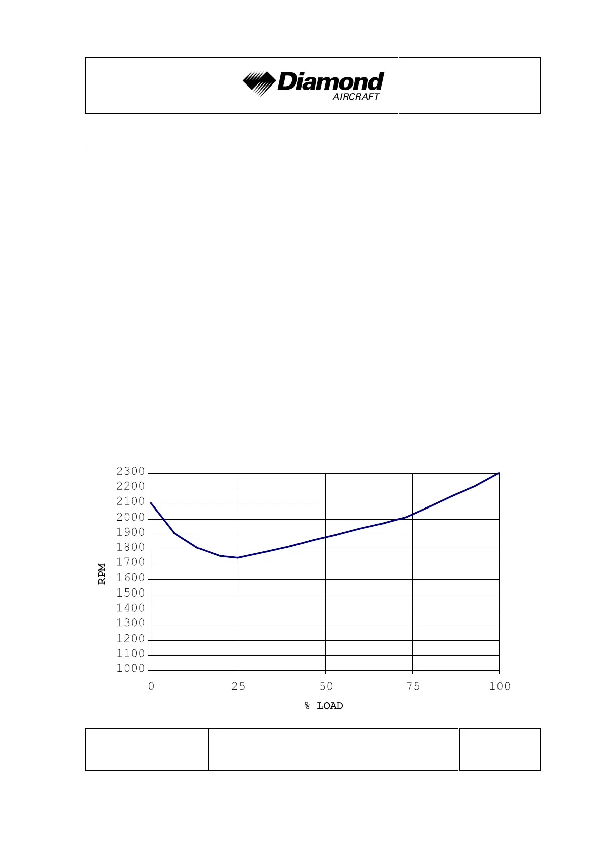
Depending on the power setting the propeller pitch is adjusted such that the required RPM
will be obtained as shown in the following diagram.

Table of Contents

Related product manuals