EasyManua.ls Logo

Elite EC66 - Quick Start Procedures

Elite EC66
130 pages
Print Icon
To Next Page IconTo Next Page
To Next Page IconTo Next Page
To Previous Page IconTo Previous Page
To Previous Page IconTo Previous Page
Loading...
Page 30 of 130
Doc No.T202001005 www.elibot.cn
1. Make sure the tool is correctly and securely installed in place.
2. Make sure the tool is safely constructed such that it cannot create a hazardous situation by a
dropping part unexpectedly.
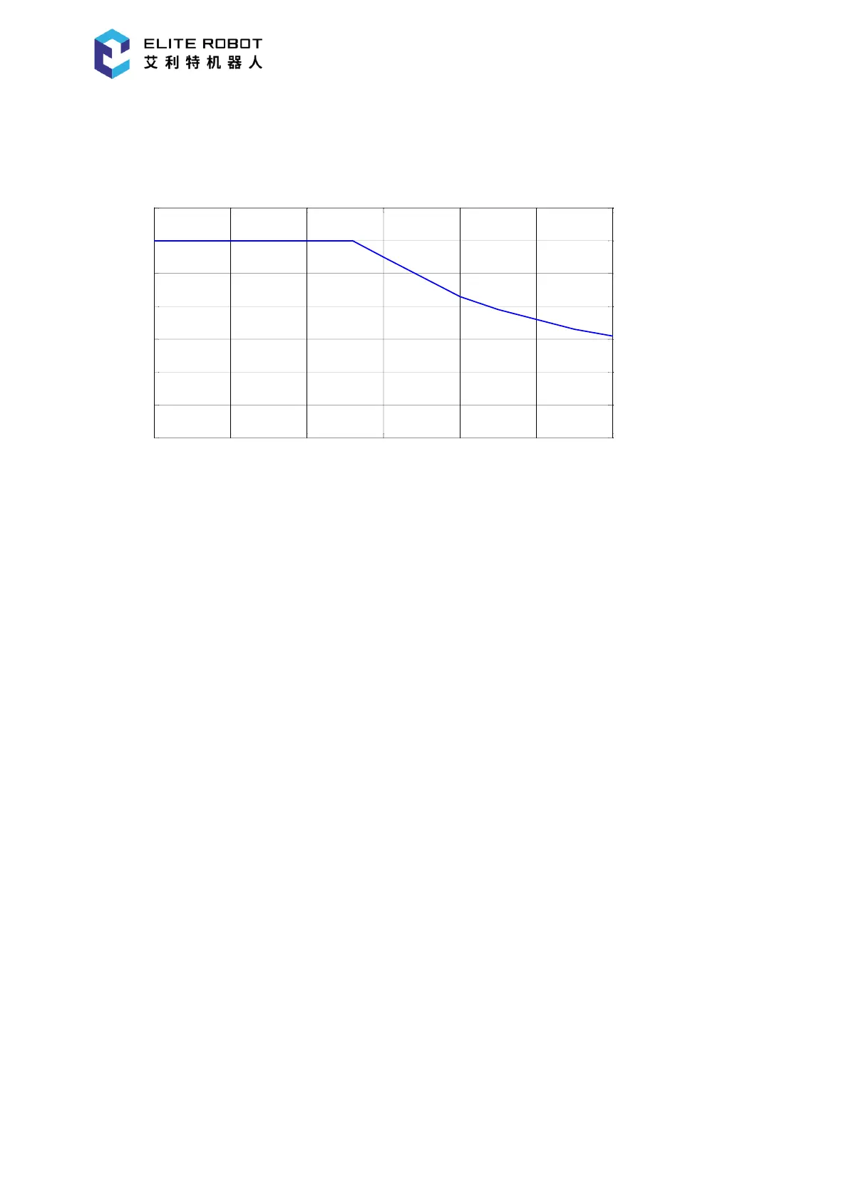
A wrist payload diagram is shown above. Herein, the horizontal ordinates D respectively
indicates the offset of the center of gravity. The offset of the center of gravity is the distance from the
center of the flange plate of the tool/end effector to the center of gravity of the tool.
WARNING
1. The load conditions should fall within the scope shown in the chart.
2. The payload shown in the diagram indicates a maximum payload which should not exceed a
maximum weight shown in the diagram under any circumstances.
3. The components inside the robot may be damaged early if the payload exceeds an allowable
value.
0 100 200 300 400 500 600
0
1
2
3
4
5
6
7
D(mm)
payload/kg

Table of Contents