EasyManua.ls Logo

Emerson SP2401 - Menu 14: User PID Controller

Emerson SP2401
220 pages
Print Icon
To Next Page IconTo Next Page
To Next Page IconTo Next Page
To Previous Page IconTo Previous Page
To Previous Page IconTo Previous Page
Loading...
Safety
Information
Introduction
Product
information
System
design
Mechanical
installation
Electrical
installation
Getting
started
Optimisation
Parameters
Technical
data
Component
sizing
Diagnostics
172 Unidrive SP Regen Installation Guide
www.controltechniques.com Issue Number: 2
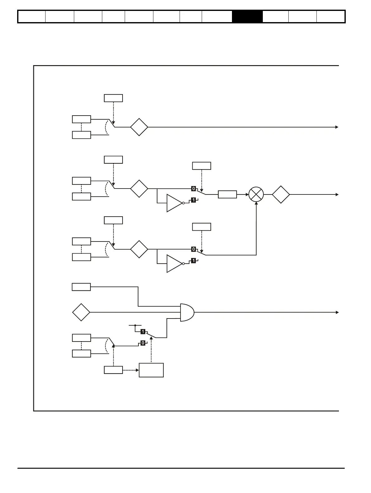
9.13 Menu 14: User PID controller
This menu contains a PID controller which has programmable reference and feedback inputs, programmable enable bit, reference slew rate limiting,
variable clamp levels and programmable destination. The sample rate of the PID controller is 4ms.
Figure 9-11 Menu 14 logic diagram
??.??
??.??
14.19
14.02
??.??
??.??
14.20
14.03
??.??
??.??
14.21
14.04
14.07
+
_
14.22
??.??
??.??
14.09
10.01
14.08
&
Any variable
parameter
Any variable
parameter
Any variable
parameter
Any bit
parameter
Main reference
source parameter
PID Main
reference
PID reference
source parameter
PID
reference
PID feedback
source parameter
PID
feedback
PID
enable
Drive normal
indicator
Optional PID
enable source
parameter
x(-1)
x(-1)
PID reference
slew-rate limit
PID
error
Source
not used
Logic 1
14.05
PID reference
source invert
14.06
PID feedback
source invert

Table of Contents

Related product manuals