EasyManua.ls Logo

Explorer Technology Group DLV50 - 2.5 DLV50 HYD Mode Operation

Default Icon
26 pages
Print Icon
To Next Page IconTo Next Page
To Next Page IconTo Next Page
To Previous Page IconTo Previous Page
To Previous Page IconTo Previous Page
Loading...
2.4.2.4 Limits:
Select to view, remove or edit the high and low threshold voltage limits for the string.
2.4.2.5 -> Flash USB:
Select to export the current VDC string to a .bdf file to a USB flash drive connected to the DLV50 USB
port. This file can later be transferred to a PC and opened with Winmeter 5.0 software.
2.4.2.6 -> Print IRDA:
Select to print the current VDC string to a .bdf file to a USB flash drive connected to the DLV50 USB
port.
2.4.2.7 Delete String:
Select to delete all VDC data in the current VDC string.
This process cannot be undone!
2.5 HYD Mode
To select HYD Mode, from the “Main Menu” use the up/down keys to highlight “HYD Mode” then
push the right soft key (below “ENTER”) to select.
Select “HYD MODE” to upload hydrometer data from a DMA35 digital hydrometer, then view, analyze,
export to USB flash drive, print via IRDA.
The DLV50 can upload and store up to 8 strings of 256 readings (specific gravity & temperature) stored
in strings A through H.
Once HYD Mode is selected the user then selects which string (A through H) to open. Each string is
displayed together with the number of contained readings and the date the last reading was taken.
A 128 02/08/12
B 000 --/--/--
C 000 --/--/--
D 000 --/--/--
E 000 --/--/--
F 000 --/--/--
G 000 --/--/--
H 048 02/08/12
BACK
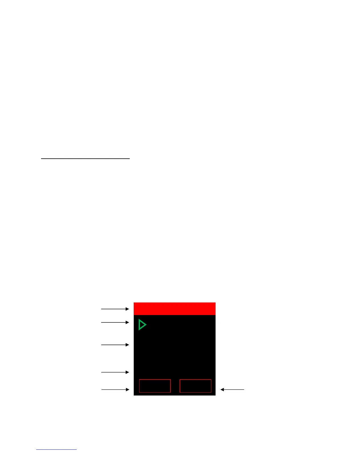
ENTER
SELECT HYD STRING
String A (128 readings, last
readings taken 2/8/12)
Current menu
String D (empty)
String H (48 readings, last
readings taken 2/8/12)
Press left soft key to return
to the “Main Menu”.
Press right soft key to
select highlighted string.