EasyManua.ls Logo

GE Multilin 345 - Page 157

GE Multilin 345
254 pages
Print Icon
To Next Page IconTo Next Page
To Next Page IconTo Next Page
To Previous Page IconTo Previous Page
To Previous Page IconTo Previous Page
Loading...
CHAPTER 6: SETPOINTS S3 PROTECTION
345 TRANSFORMER PROTECTION SYSTEM – INSTRUCTION MANUAL 6–41
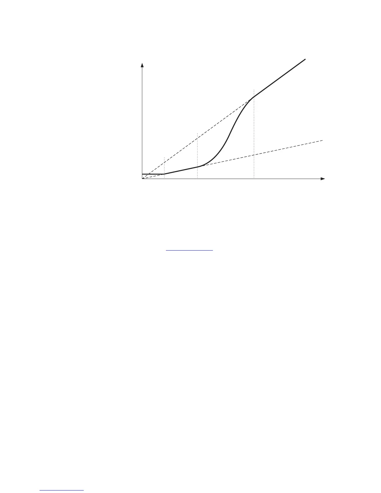
Figure 6-18: Differential / Restraint characteristic
The figure above shows the differential/restraint characteristic of the main transformer
percent differential protection.
PATH:
SETPOINTS > S3 PROTECTION > S3 SETPOINT GROUP1 > XFMR PCNT DIFF
XFMR DIFF FUNCTION
Range: Disabled, Latched Alarm, Alarm, Trip
Default: Disabled
For details see Common setpoints
.
Output relays #1 “R1 TRIP” and #2 “R2 TRIP” will operate when the Trip setting is
selected and the Percent Differential protection is in operation.
MINIMUM PICKUP
Range: 0.05 to 1.00 x CT in steps of 0.01
Default: 0.10 x CT
This setting defines the minimum differential current required for operation. The setting
is selected based on the amount of differential current that might be seen under normal
conditions. This differential current is a result of the transformer magnetizing current, CT
inaccuracies, and a transformer ratio that may change as a result of the transformer
on-load tap changer.
SLOPE 1
Range: 15 to 100% in steps of 1
Default: 30%
This setting is applicable for restraint (through) currents of zero to kneepoint 1, and
defines the ratio of differential/restraint currents, above which the element will operate.
The slope is set to ensure sensitivity of internal faults at normal transformer loading.
BREAK 1
Range: 0.50 to 4.00xCT in steps of 0.01xCT
Default: 1.50xCT
The setting for Breakpoint 1 defines the limit of linear operation of Winding 1 CT,
accounting for up to 80% of residual flux that effectively reduces the capability of the CT
by a factor of 5. Breakpoint 1 should be set below the current that would cause CT
saturation due to DC components and/or residual magnetism. Very often the Breakpoint
1 setting is based on the transformer Winding 1 nominal current (100% transformer
Idifferential (xCT)
Irestraint (xCT)
SLOPE 1
25%
OPERATE REGION
PICKUP
0.30
SLOPE 2
100%
BREAKPOINT 2
BREAKPOINT 1
Transition Region
(lineal)
897802.cdr

Table of Contents

Related product manuals