EasyManua.ls Logo

Giga-tronics 80350A - Figure 3-3: Analog Circuit Timing Diagram

Giga-tronics 80350A
110 pages
Print Icon
To Next Page IconTo Next Page
To Next Page IconTo Next Page
To Previous Page IconTo Previous Page
To Previous Page IconTo Previous Page
Loading...
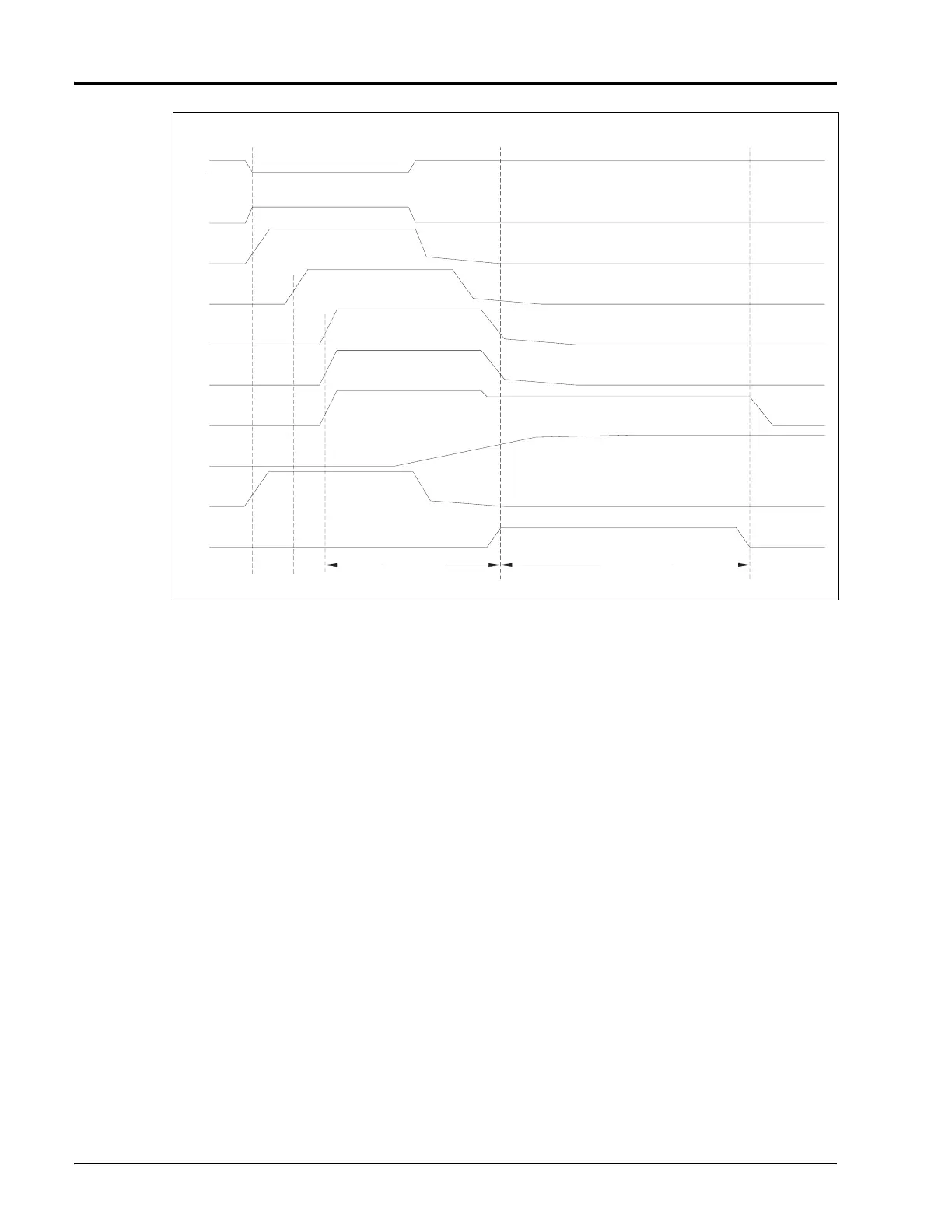
Figure 3-3: Analog Circuit Timing Diagram
DIF - AMP
TP3
1ST DELAY
TP4
2ND DELAY
TP5
MONITOR
TP9
TRACK&HOLD
TP7
OUTPUT
TP12
TRIG AMP
J2-5
SAMP
DELAY TIME
TRANSFER TIME
TP1
NEG INPUT
POS INPUT
TP2
TP6
Series 8035XA Peak Power Sensors
3-4 Manual 21568, Rev. F, March 2008

Table of Contents