EasyManua.ls Logo

HiDew DCS 040 - Page 29

HiDew DCS 040
48 pages
Print Icon
To Next Page IconTo Next Page
To Next Page IconTo Next Page
To Previous Page IconTo Previous Page
To Previous Page IconTo Previous Page
Loading...
Installation, use and maintenance manual rev00
29 - 48
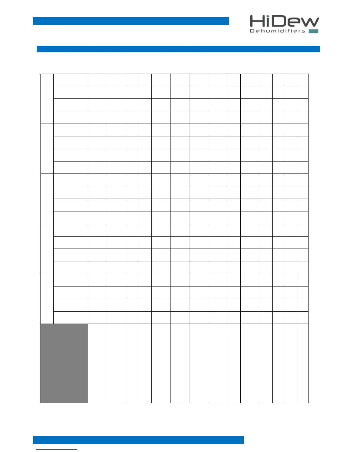
5.3.2 MAINTENANCE TABLE
To grant the performance of the unit, it is strongly suggested to make reference to the following table for maintenance done and to
be done.
YEAR
__________
quarter
quarter
quarter
quarter
YEAR
__________
quarter
quarter
quarter
quarter
YEAR
__________
quarter
quarter
quarter
quarter
YEAR
__________
quarter
quarter
quarter
quarter
YEAR
__________
quarter
quarter
quarter
quarter
MAINTENANCE
Control and safety equipment
functioning
Compressor status
Sound level emitted
No oil losses from th
e
compressor
No refrigerant gas losses from
the refrigerant circuit
No water losses from the
hydraulic circuit
Clamps control on the electrical
panel
Heat recover cleaning
Air filters cleaning /
replacement
Condense small basin collector
cleaning
Thermal exchange coil cleaning

Related product manuals