EasyManua.ls Logo

HP 8901B

HP 8901B
433 pages
To Next Page IconTo Next Page
To Next Page IconTo Next Page
To Previous Page IconTo Previous Page
To Previous Page IconTo Previous Page
Loading...
2-70
Help
Questionable
Measurement
Same Error
No
Error
New Error
Instrument does not display frequency of the
input signal.
If the error or reading remains the same after the
AUTOMATIC OPERA-
TION
key has been pressed, the error is being caused by an input problem.
Look up the error code in Table
2-3
and take the action recommended for
"Input Problem".
If
the error goes away after the
AUTOMATIC OPERATION
key has
been pressed, the error was caused by an operating problem.
Look
up the error code in Table
2-3
and take the action recommended for
"Operating Problem".
If
the error is replaced by a different error or dash code after the
AUTO-
MATIC OPERATION
key has been pressed, the original error was being
caused by a combined input problem and operating problem. Look up the
error code displayed by the instrument
after
the
AUTOMATIC OPERATION
key was pressed. Take the action recommended for "Input Problem".
Remember
Because
of
the wide variety
of
input signals and the operating
flexibility of the
HP
8901B,
it is not possible to list all
recovery actions
for
each error code. After using the table to
determine the cause
of
the problem,
you
may discover other error
recovery procedures that are better suited to your application.
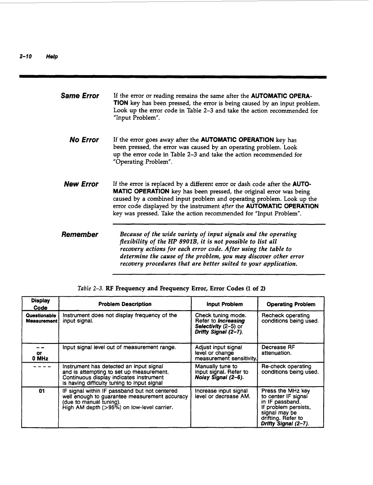
Table
2-3.
RF
Frequency
and
Frequency Error, Error Codes
(1
of
2)
Display
Code
Problem Description
Input signal level out of measurement range.
and
is
attempting to set
up
measurement.
Continuous display indicates instrument
I
is
having difficulty-tuning to input signal
I
IF
signal within
IF
passband but not centered
01
well enough to guarantee measurement accuracy
(due to manual tuning).
High
AM
depth
(>95%)
on low-level carrier.
____
~~
Input Problem
Check tuning mode.
Refer
to
Increasing
Selectivity
(2-5)
or
Drifty
Signal
(2-7).
Adjust input signal
level
or change
measurement
sensitiviq
Manually
tune
to
input signal.
Refer
to
Noisy Signal
(2-6).
Increase input signal
level or decrease AM.
Operating Problem
Recheck
operating
conditions being used.
Decrease
RF
attenuation.
Re-check operating
conditions
being
used.
Press the MHz key
to center
IF
signal
in
IF
passband.
If
problem persists,
signal may be
drifting.
Refer to
Drifty
Signal
(2-7).

Table of Contents

Other manuals for HP 8901B

Related product manuals