EasyManua.ls Logo

IAI MSCON - Page 337

IAI MSCON
360 pages
Print Icon
To Next Page IconTo Next Page
To Next Page IconTo Next Page
To Previous Page IconTo Previous Page
To Previous Page IconTo Previous Page
Loading...
Chapter 9 Appendix
329
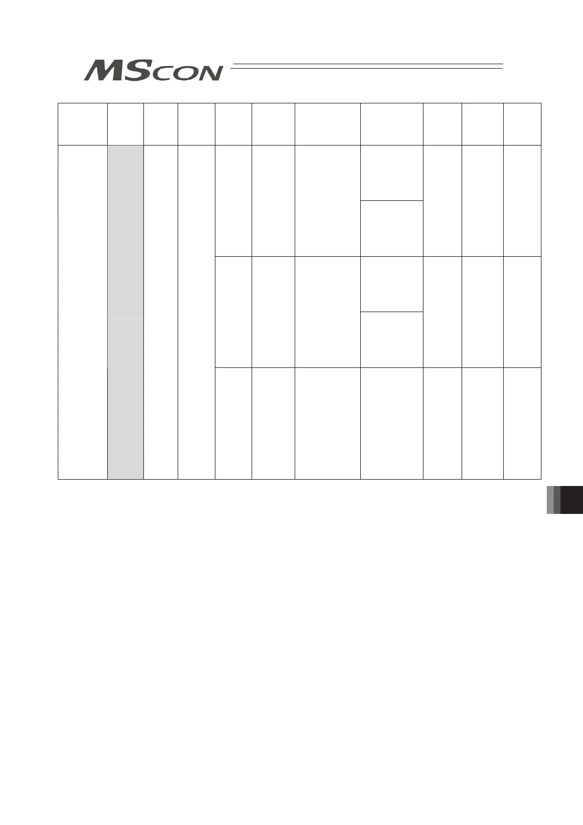
Actuator
Series
Type
Motor
Output
No. of
Encoder
Pluses
Lead
Oriented
Direction
Maximum Speed
Maximum
Acceleration/
Deceleration
Minimum
Pressing
Force
Maximum
Pressing
Force
Rated
Pressing
Speed
[W] [mm] [mm/s] [G] [N] [N] [mm/s]
0.7
10
Horizontal
Vertical
600
(at 120 to 770st)
460
(at to 870st)
380
(at to 970st)
320
(at to 1070st)
270
(at to 1170st)
220
(at to 1270st)
0.6
– –
1.2
20
Horizontal
Vertical
1200
(at 120 to 770st)
920
(at to 870st)
765
(at to 970st)
645
(at to 1070st)
550
(at to 1170st)
440
(at to 1270st)
1.0
– –
ISB
ISPB
(Slider Type)
LXL
(Note)
200
16384
40
Horizontal/
Vertical
2400
(at 120 to 770st)
1840
(at to 870st)
1530
(at to 970st)
1290
(at to 1070st)
1100
(at to 1170st)
880
(at to 1270st)
1.2
– –
(Note) The model stated in the hatched area is applicable for the offboard tuning function (except for the
setting for the high acceleration/deceleration type if any).
For the off board tuning function, refer to the instruction manual for RC PC Software.
ME0306-2A

Table of Contents