EasyManua.ls Logo

Iconia B1-A71 - LCD Picture Failure

Default Icon
104 pages
Print Icon
To Next Page IconTo Next Page
To Next Page IconTo Next Page
To Previous Page IconTo Previous Page
To Previous Page IconTo Previous Page
Loading...
Troubleshooting 4-5
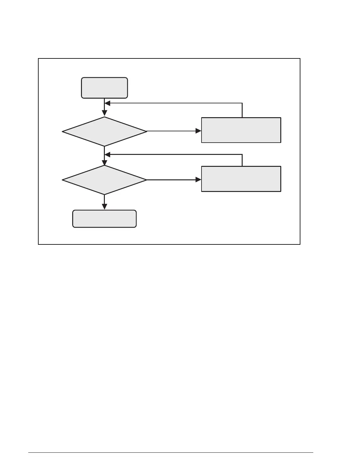
LCD Picture Failure
If the LCD picture fails, perform the following:
Figure 4-3. LCD Picture Failure
Start
Swap M/B
Check LCD FPC
Check LCD panel
Swap LCM
OK
NG
Swap LCM
OK
OK
NG

Table of Contents

Related product manuals