EasyManua.ls Logo

jcb EcoMAX - Engine Control Devices; Engine Throttles

jcb EcoMAX
64 pages
Print Icon
To Next Page IconTo Next Page
To Next Page IconTo Next Page
To Previous Page IconTo Previous Page
To Previous Page IconTo Previous Page
Loading...
JCB EcoMAX Engine Installation Manual
Page 40 of 64 320/A9164-1 © JCB Power Systems Ltd.
13.7 Engine Control Devices
13.7.1 Engine Throttles
The engine can be controlled by any of the following devices:
Single foot throttle
Single hand throttle
Combination of foot and hand throttles
Two hand throttles
Engine fixed speed control
TSC1 CAN speed control
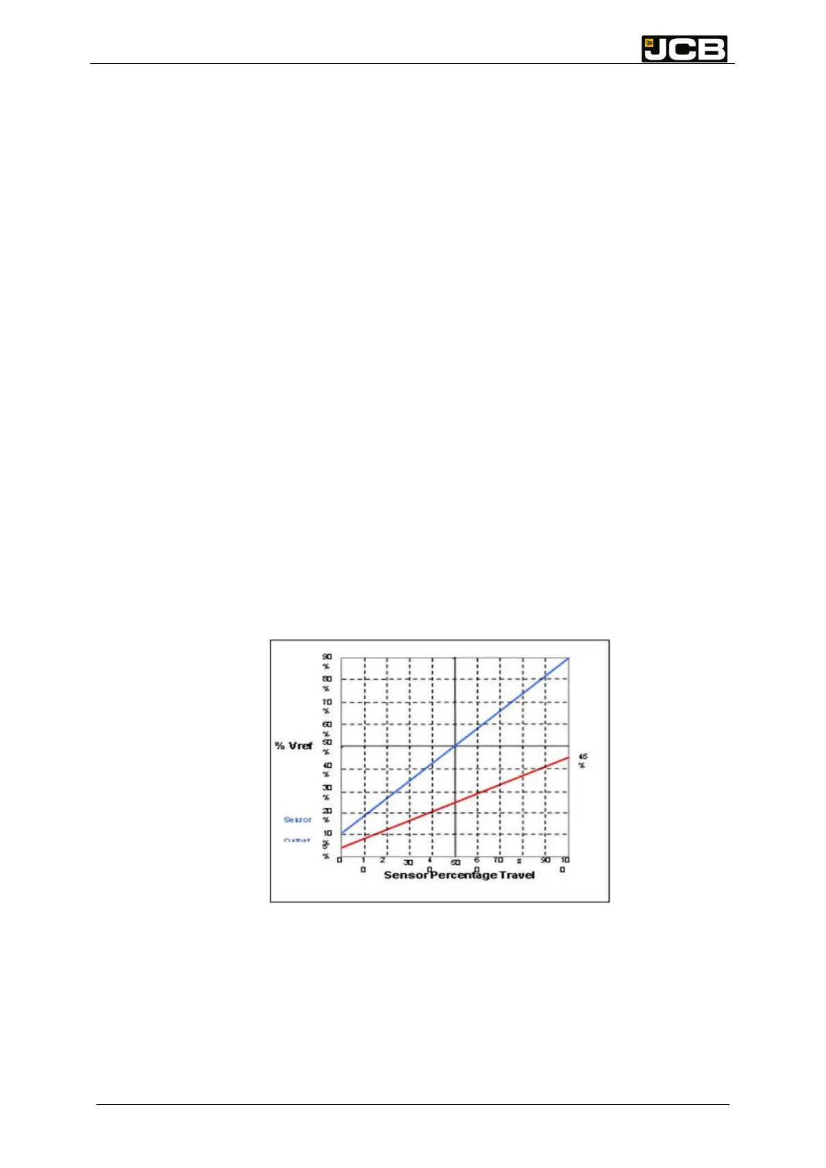
The foot pedal and hand lever can be either:
Twin track ratiometric voltage output
Single ratiometric voltage output, with CAN taking the place of the other track.
The characteristics required from the twin track ratiometric device are shown in Figure 9.
A typical circuit diagram for the electronic device is shown in Figure 10.
The engine speed can also be controlled by the TSC1 CAN message. This can be done by
either a CAN enabled dash controller or by a TSC1 pedal which sends the speed request.
Further details can be seen in the electronic integration manual 320/A9059.
Please contact your JCB EcoMAX Dealer, or JCB Power Systems Applications department,
for more information and advice.
Figure 9: Characteristics of a twin track electronic throttle

Table of Contents

Related product manuals