EasyManua.ls Logo

Kodak 2200 - Figure 15: Heating and Cooling Curves

Kodak 2200
42 pages
Print Icon
To Next Page IconTo Next Page
To Next Page IconTo Next Page
To Previous Page IconTo Previous Page
To Previous Page IconTo Previous Page
Loading...
SM731_K2200_01_en 06/2009
6-6
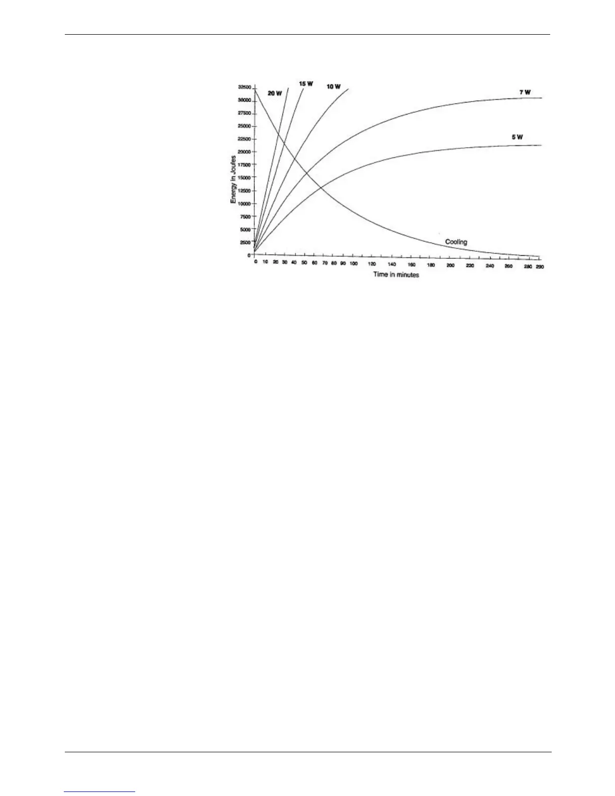
Figure 15: Heating and cooling curves
of the KODAK 2200 system tube head

Table of Contents

Related product manuals