EasyManua.ls Logo

Metrohm 794 Basic Titrino - Page 38

Metrohm 794 Basic Titrino
198 pages
Print Icon
To Next Page IconTo Next Page
To Next Page IconTo Next Page
To Previous Page IconTo Previous Page
To Previous Page IconTo Previous Page
Loading...
2.7. Parameters, key <PARAM>
794 Basic Titrino
34
EP recognition criteria for DET and MET
The parameter "EP recognition" offers you a range of possibilities to ensure selection of
the EP you are interested in: If the desired jump is very large, you can select the "greatest"
jump (with DET the steepest jump will be evaluated). Thus you always obtain just one EP
per titration (EP1).
If you wish to determine the sum of different components (e.g. acid or base numbers), the
"last" jump can be the correct one.
And finally you can set a "window" for each expected EP.
EP windows
EP windows are used
to suppress disturbing influences and EP's which are not needed.
to increase the liability for the calculation of the results. The EP windows make an
unequivocal assignment of the EP's possible: per window one EP is recognized; the
numbering of EP's is defined by the windows so that even if EP's are missing, the
calculations are still performed with the correctly assigned EP volumes.
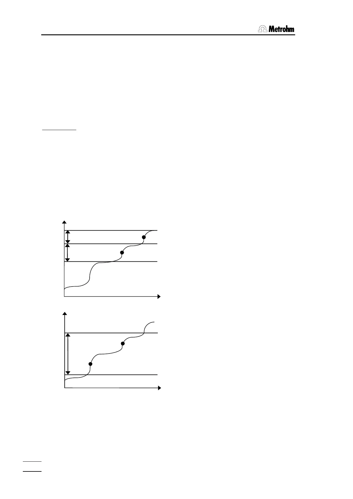
An EP window defines the range in which an EP is expected. EP's outside these ranges
are not recognized. Windows are defined on the measured value axis.
2 EP's are recognized. Their
numbering is defined by the windows:
Window 1
EP1
Window 2
EP2
If more than 1 EP is expected, a
window must be set for each EP.
Windows must not overlap. They may
only touch each another.
Rule: If there are more than 1 EP in a
window, the first jump is recognized as
EP1, the second is not recognized.
EP1 is marked as EP1 + to indicate
that more than one EP has been found
in the window
U/mV
V/mL
EP window 2
EP window 1
EP 1
EP 2
U/mV
V/mL
EP 1
+ EP window 1
lower lim. 1
upper lim. 1

Table of Contents

Related product manuals