EasyManua.ls Logo

Phase Technologies SD Series - Page 58

Phase Technologies SD Series
84 pages
Print Icon
To Next Page IconTo Next Page
To Next Page IconTo Next Page
To Previous Page IconTo Previous Page
To Previous Page IconTo Previous Page
Loading...
52 | P a g e
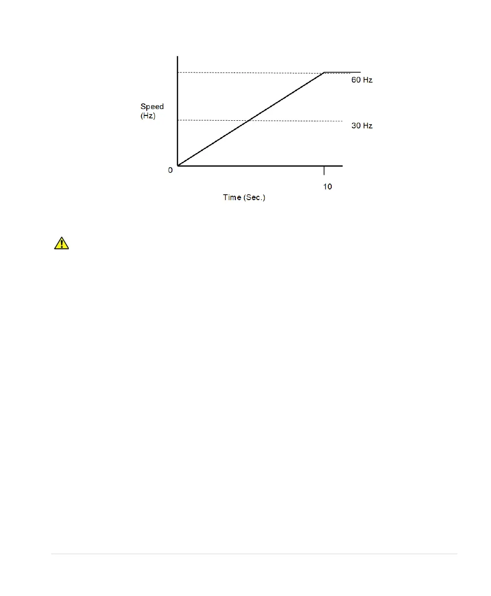
Figure 30 Start-Up Ramp (SUBMERSIBLE PUMP parameter disabled)
CAUTION: Most submersible pump motor manufacturers require the motor to reach 30 Hz within
one second in order to protect the pump from damage. Factory default ramp time is 0-30 Hz in one
second, followed by the selected ramp time from 30 Hz to maximum frequency.

Related product manuals