EasyManua.ls Logo

Phase Technologies SD Series - 6.6 Start-Up and Shut-Down Ramp Times

Phase Technologies SD Series
84 pages
Print Icon
To Next Page IconTo Next Page
To Next Page IconTo Next Page
To Previous Page IconTo Previous Page
To Previous Page IconTo Previous Page
Loading...
51 | P a g e
6.6 Start-Up and Shut-Down Ramp Times
Start-up and shut-down ramp times specify the time required to go from MIN FREQUENCY to MAX
FREQUENCY or vice versa. Ramp times and profiles are adjustable using keypad navigation.
The factory default setting for START UP RAMP is 10 seconds and 4 seconds for SHUTDOWN
RAMP. Factory settings activate the COAST TO STOP parameter to reduce nuisance tripping from
high inertia loads. Coast to stop inactivates the SHUTDOWN RAMP parameter.
Submersible Pump Parameter and Minimum Frequency
Most submersible pump motor manufacturers require the motor to reach 30 Hz within one second in
order to protect the pump from damage. Because the SD & 2XD Series drives are frequently used for
pumping applications, it has a parameter, SUBMERSIBLE PUMP that limits the time the motor runs
below 30 Hz to one second.
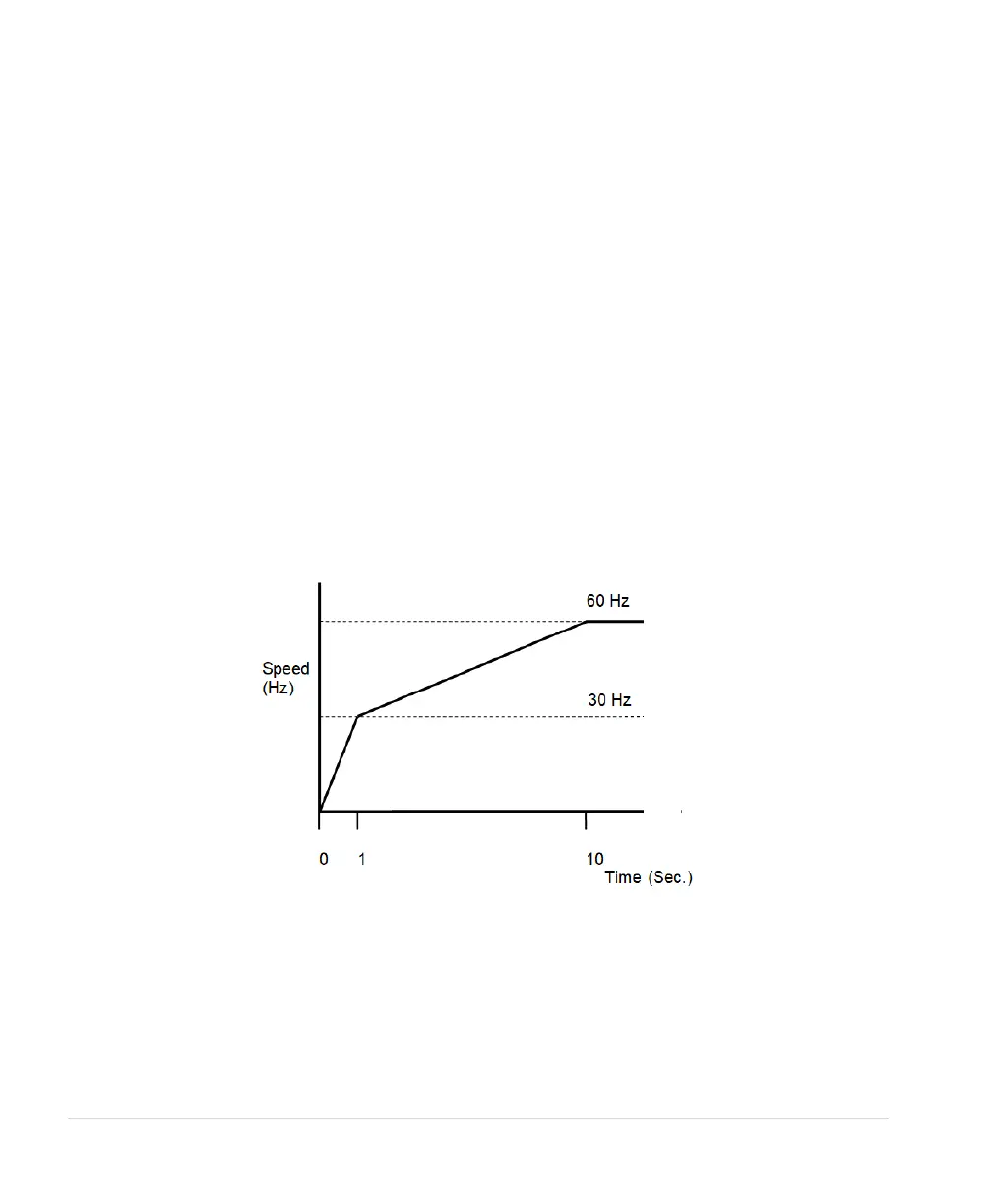
When SUBMERSIBLE PUMP is set to YES, the motor speed will ramp to minimum frequency in one
second, then ramp to the maximum frequency in a total of 10 seconds. The ramp times can be
changed through the adjustable parameter, START UP RAMP. The factory default setting for
SUBMERSIBLE PUMP is YES and MIN FREQUENCY is 30 Hz.
When the SUBMERSIBLE PUMP parameter is set to YES, the motor will ramp from stop to the
maximum frequency in 10 seconds in a linear fashion as depicted in Figure 29.
Figure 29 Default Start-Up Ramp (SUBMERSIBLE PUMP parameter enabled)
To set the minimum frequency, navigate to the keypad Main Menu item:
CHANGE PARAMETER VALUES > CHANGE OPERATING PARAMETERS > MIN FREQUENCY >
30 Hz. When SUBMERSIBLE PUMP is set to NO ramp times will be linear, as depicted in
Figure 30.

Related product manuals