EasyManua.ls Logo

Pointer Avionics skyhunter 406 - Page 207

Default Icon
258 pages
Print Icon
To Next Page IconTo Next Page
To Next Page IconTo Next Page
To Previous Page IconTo Previous Page
To Previous Page IconTo Previous Page
Loading...
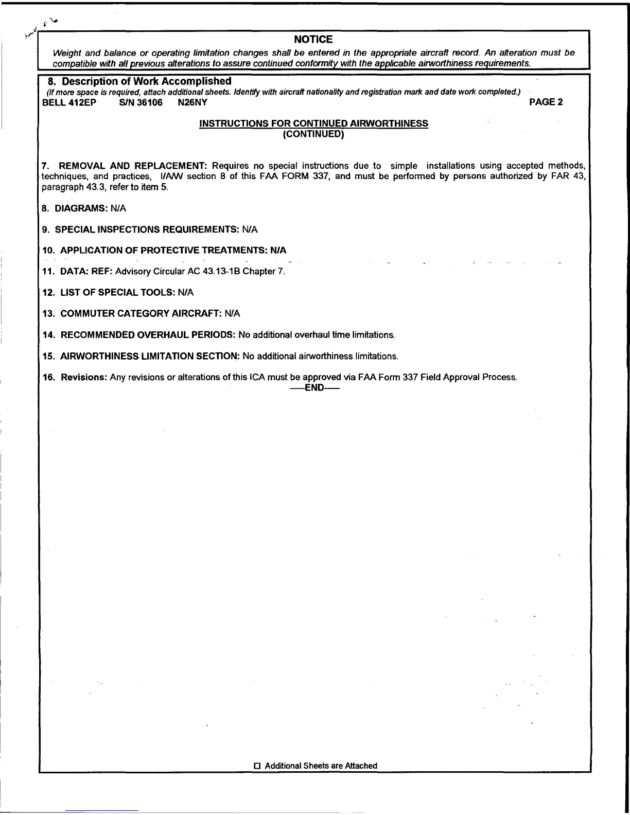
NOTICE
Weight and balance or operating limitation changes shall be entered in the appropriate aircraft record. An alteration must be
compatible with all previous alterations to assure continued conformity with the
aaDlicable airworthiness requirements.
8. Description of Work Accomplished
(If more space is required, attach additional sheets. Identify with aircraft nationality and registration mark and date work completed.)
BELL 412EP SIN 36106 N26NY PAGE 2
INSTRUCTIONS FOR CONTINUED AIRWORTHINESS
(CONTINUED)
7. REMOVAL AND REPLACEMENT: Requires no special instructions due to simple installations using accepted methods,
techniques, and practices, I/NIN section 8 of this FAA FORM 337, and must be performed by persons authorized by FAR 43,
paragraph 43.3, refer to item 5.
8. DIAGRAMS: N/A
9. SPECIAL INSPECTIONS REQUIREMENTS: NIA
10. APPLICATION OF PROTECTIVE TREATMENTS: N/A
11. DATA: REF: Advisory Circular AC 43.13-1 B Chapter 7.
12. LIST OF SPECIAL TOOLS: N/A
13. COMMUTER CATEGORY AIRCRAFT: NIA
14. RECOMMENDED OVERHAUL PERIODS: No additional overhaul time limitations.
15. AIRWORTHINESS LIMITATION SECTION: No additional airworthiness limitations.
16. Revisions: Any revisions or alterations of this ICA must be approved via FAA Form 337 Field Approval Process.
-END-
D Additional Sheets are Attached

Table of Contents