EasyManua.ls Logo

Ropex CIRUS UPT-640 - Page 26

Ropex CIRUS UPT-640
55 pages
Print Icon
To Next Page IconTo Next Page
To Next Page IconTo Next Page
To Previous Page IconTo Previous Page
To Previous Page IconTo Previous Page
Loading...
Controller functions
26 UPT-640 (as of SW 100)
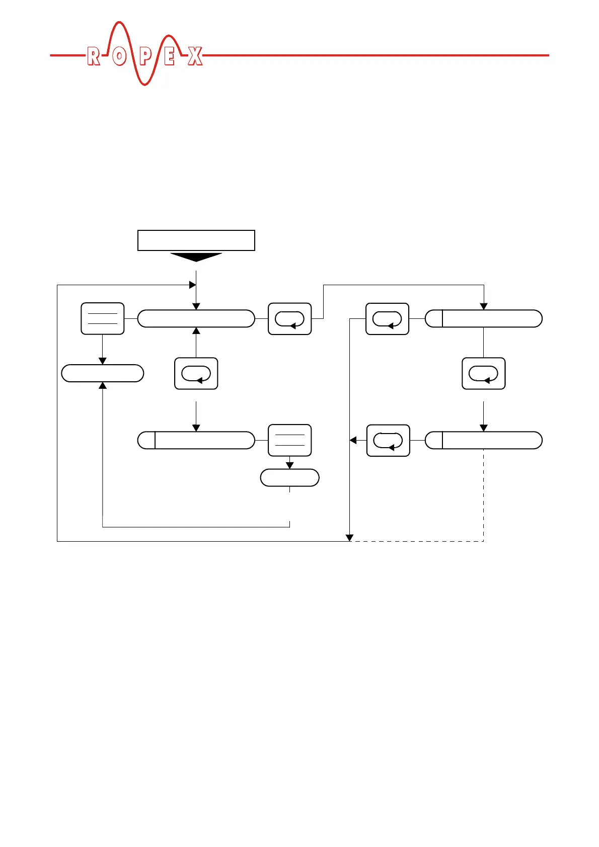
9.3.2 Navigation in menus with a fault
If an alarm is signaled, the controller switches to the
Alarm menu. Some faults can be acknowledged by
pressing the "RESET" key ( Kap. 9.25 „System moni-
toring/alarm output“ auf Seite 46). In this case, the con-
troller switches back to the home position.
If the fault can be rectified by executing the AUTOCAL
function, you can select the "AUTOCAL" menu step
directly by briefly pressing the "MENU" key (<2s). You
can then activate the "AUTOCAL" function by pressing
the "ENTER" key ( section 9.8 "Automatic zero cali-
bration (AUTOCAL)" on page 32).
If you press the "MENU" key for longer than 2s in the
Alarm menu, you are taken directly to the configuration
level (starting at step 201). You can return from the
Configuration menu to the Alarm menu either by pres-
sing the "MENU" key for longer than 2s or by not pres-
sing any keys for 30s.
202
Factory settings
201
Language
Alarm
<1s
>2s
<1s
Fault
automatically
after 30s
>2s
or
automatically
after 30s
>2s
or
Autocal
Autocal?
ENTER
HAND
RESET
ENTER
HAND
RESET
Home position
End of
Autocal
107

Table of Contents

Related product manuals