EasyManua.ls Logo

Ropex CIRUS UPT-640 - Current Transformer PEX-W2;-W3; Booster

Ropex CIRUS UPT-640
55 pages
Print Icon
To Next Page IconTo Next Page
To Next Page IconTo Next Page
To Previous Page IconTo Previous Page
To Previous Page IconTo Previous Page
Loading...
System description
6 UPT-640 (as of SW 100)
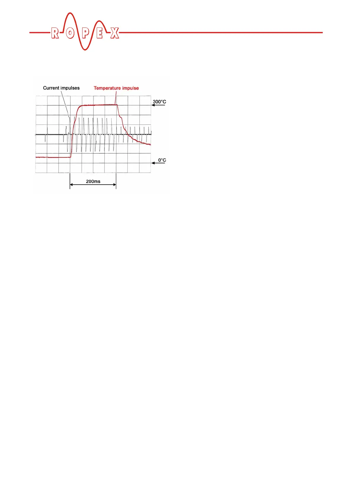
layer of the UPT heating element together result in a
highly dynamic, thermo-electrical control loop.
Thanks to its microprocessor based technology, the
controller features an optimized control algorithm as
well as numerous functions tailored to the various
tasks, such as "AUTOCAL", TIMER functions,
RELEASE IMPULSE, ALARM with fault diagnosis etc.
These are described in detail below.
An easy-to-read, 4-line, multilingual display visualizes
all parameters, measured values and states. The con-
troller can also interact with external controllers (PLC,
IPC etc.) via the analog INPUTS and OUTPUTS.
The UPT-640 (as of SW 100) controller is designed for
installation in a front panel cutout, but can also be
accommodated in the electrical cabinet using an
adapter for top hat rail mounting ( “Adapter for top hat
rail mounting, HS-Adapter-01” on page 8).
3.2 Current transformer PEX-W2/-W3
The PEX-W2 current transformer supplied with the
CIRUS UPT-640 (as of SW 100) controller is an integral
part of the control system. Only this original ROPEX
current transformer is allowed to be used.
Never attempt to operate the current transformer with
open connections!
3.3 Booster
If the maximum load exceeds the rated current of the
controller ( section 5 "Technical data" on page 9), an
external switching amplifier (booster) must be used
( section 4.1 "Accessories" on page 7).
The other system components – UPT sealing bars,
transformers, filter, cooler etc. – are described in sepa-
rate brochures.

Table of Contents

Related product manuals