EasyManua.ls Logo

Siemens 6EP1961-3BA21 - Page 58

Siemens 6EP1961-3BA21
116 pages
Print Icon
To Next Page IconTo Next Page
To Next Page IconTo Next Page
To Previous Page IconTo Previous Page
To Previous Page IconTo Previous Page
Loading...
Mounting position, mounting clearances
4.1 Standard mounting position
SITOP expansion modules
58 Equipment Manual, 09.2022, A5E36605235-2-76
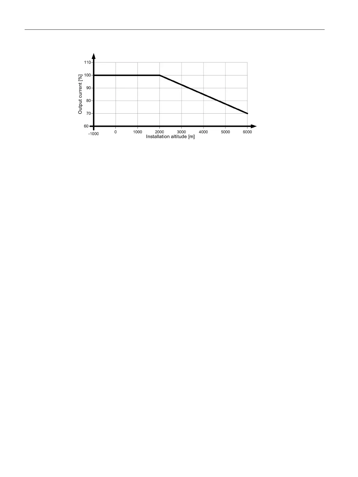
Figure 4-7 Altitude derating

Table of Contents

Related product manuals