EasyManua.ls Logo

Siemens SINAMICS S120 - Page 155

Siemens SINAMICS S120
252 pages
To Next Page IconTo Next Page
To Next Page IconTo Next Page
To Previous Page IconTo Previous Page
To Previous Page IconTo Previous Page
Loading...
Technical data and characteristics
7.2 1FK7 motors on SINAMICS S120 with 3 AC 400/480 V power supply
Synchronous Motors 1FK7
Configuration Manual, (PFK7S), Edition 12.2006, 6SN1197-0AD16-0BP1
155
>E@
>D@
>F@
Q>USP@
Q>USP@
Q>USP@
6.
6.
6
6
6






     
0 >1P@
6.
6.
6
6
6
0
0






     
0 >1P@
6.
6.
6
6
6






     
0 >1P@
PD[
PD[,QY
0
0
PD[
PD[,QY
0
0
PD[
PD[,QY
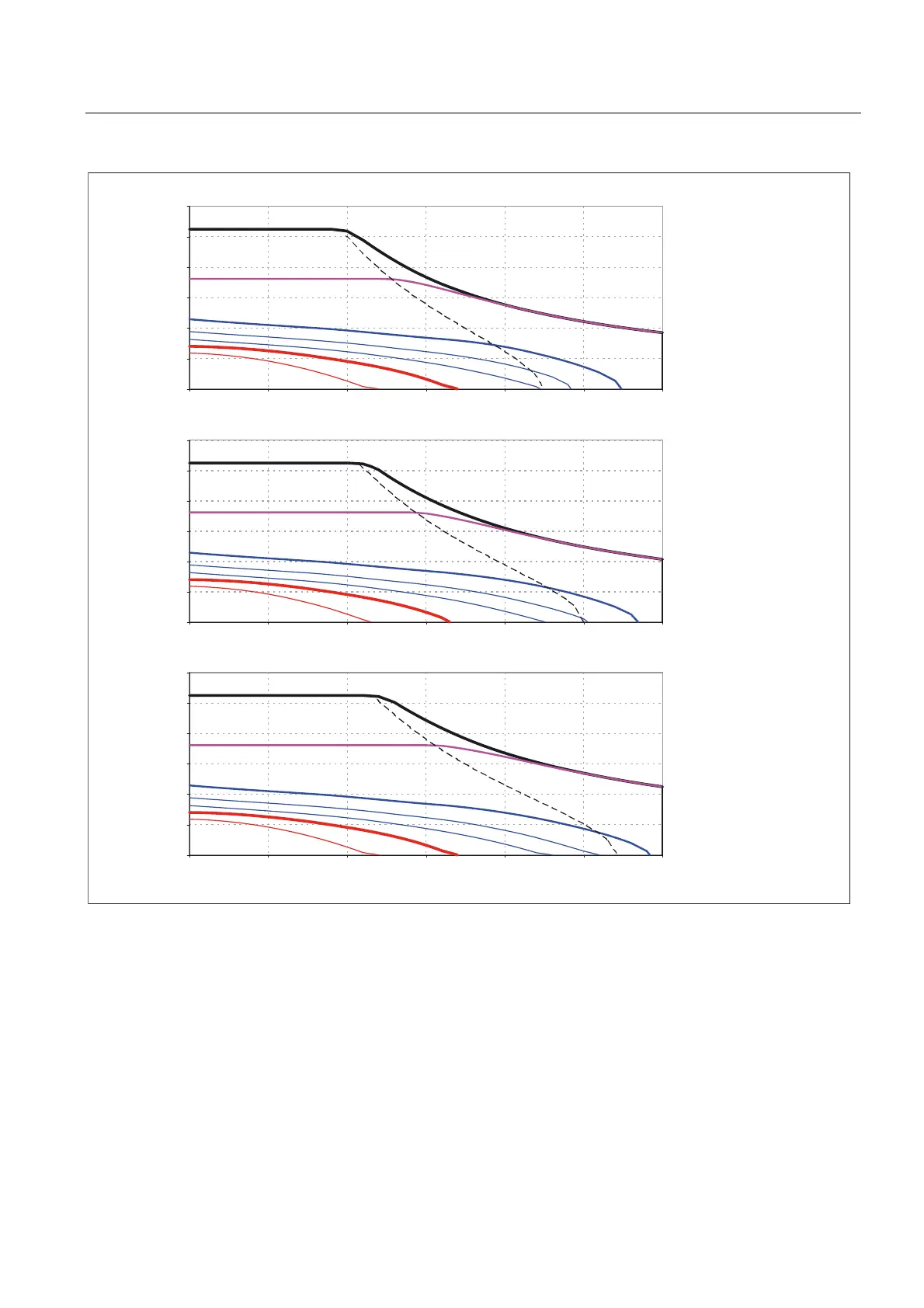
Figure 7-32 1FK7086-7AF71
[a] SINAMICS SLM 400 V
[b] SINAMICS ALM 400 V
[c] SINAMICS SLM 480 V

Table of Contents

Other manuals for Siemens SINAMICS S120

Related product manuals