EasyManua.ls Logo

Siemens SINAMICS S120 - Change to the S1 Characteristic When a Gearbox Is Mounted; Startup Procedure; Motors with Mounted Gearbox

Siemens SINAMICS S120
252 pages
To Next Page IconTo Next Page
To Next Page IconTo Next Page
To Previous Page IconTo Previous Page
To Previous Page IconTo Previous Page
Loading...
Gearbox
9.1 Dimensioning the gearbox
Synchronous Motors 1FK7
Configuration Manual, (PFK7S), Edition 12.2006, 6SN1197-0AD16-0BP1
193
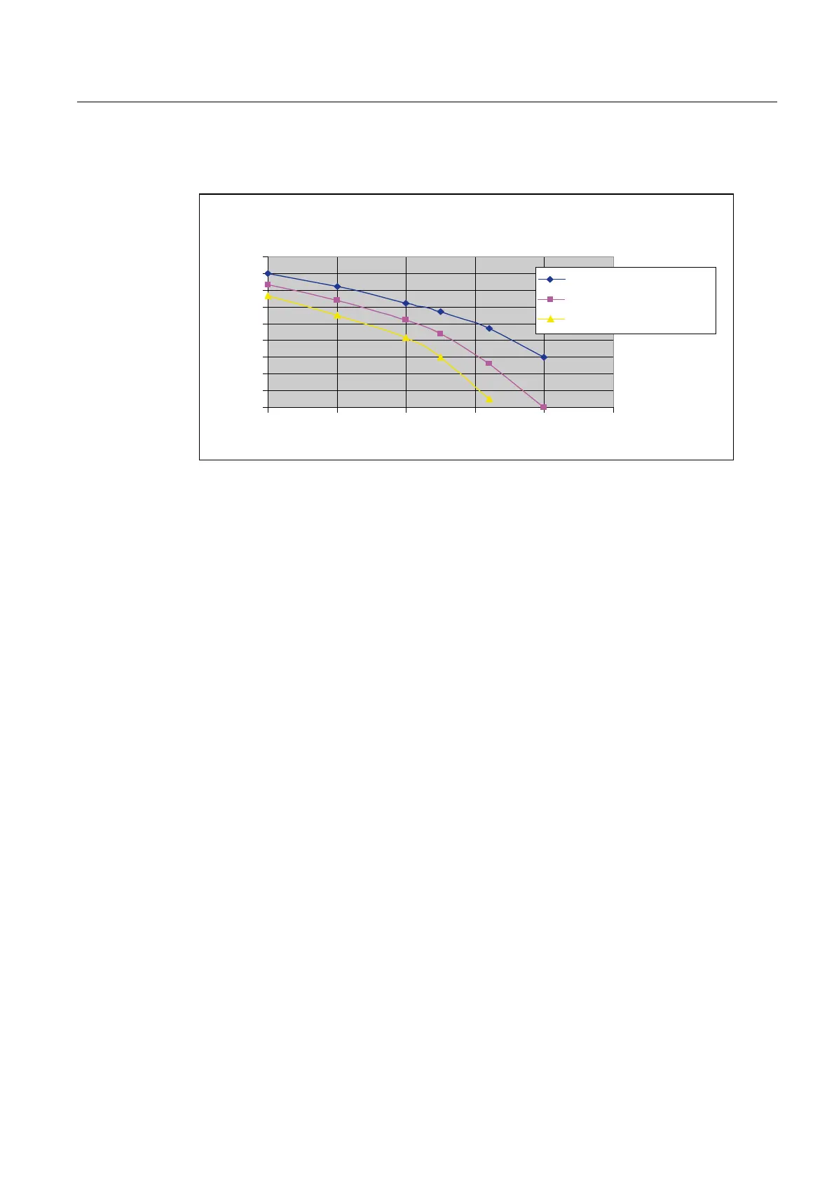
9.1.4 Change to the S1 characteristic when a gearbox is mounted
6FKDUDFWHULVWLFFXUYHFKDQJHIRU).WKURXJK
LQWHJUDOJHDUER[ZLWKHIILFLHQF\





    
6SHHGLQUHYPLQ
7RUTXHLQ1P
6FKDUDFWHULVWLF.
6FKDUDFWHULVWLFZLWKJHDUER[
6FKDUDFWHULVWLF.
Figure 9-2 Example: 1FK7083 with angled gearbox (characteristic)
Information for additional characteristics: S1
gearbox
= S1
100K
- (S1
100K
- S1
60K
) / 2
9.1.5 Startup procedure
During commissioning, it should be assumed that an increased current will be drawn due to
the lubrication characteristics (inadequate distribution of grease and oil) and the fact that the
shaft sealing ring is being run-in.
9.1.6 Motors with mounted gearbox
The gearboxes assigned to the individual motors as well as the gearbox ratios, available
for these motor-gearbox combinations are listed in the selection tables of the motor-specific
Sections. When making a selection, the maximum permissible input speed of the gearbox
must be observed (this is the same as the maximum motor speed).
The motor-gearbox combinations, listed in the selection tables, are mainly intended for
positioning duty (S3). The manufacturer must be contacted if the motors are to be used in
continuous duty at high speeds.
1FK7 synchronous motors can be supplied ex works (Siemens) complete with
a flangemounted planetary gearbox.

Table of Contents

Other manuals for Siemens SINAMICS S120

Related product manuals