EasyManua.ls Logo

Sony TRINITRON KV-34DRC430 - HV Service Flowchart

Sony TRINITRON KV-34DRC430
144 pages
Print Icon
To Next Page IconTo Next Page
To Next Page IconTo Next Page
To Previous Page IconTo Previous Page
To Previous Page IconTo Previous Page
Loading...
31
KV-34DRC430/36DRC430
KV-34DRC430/36DRC430
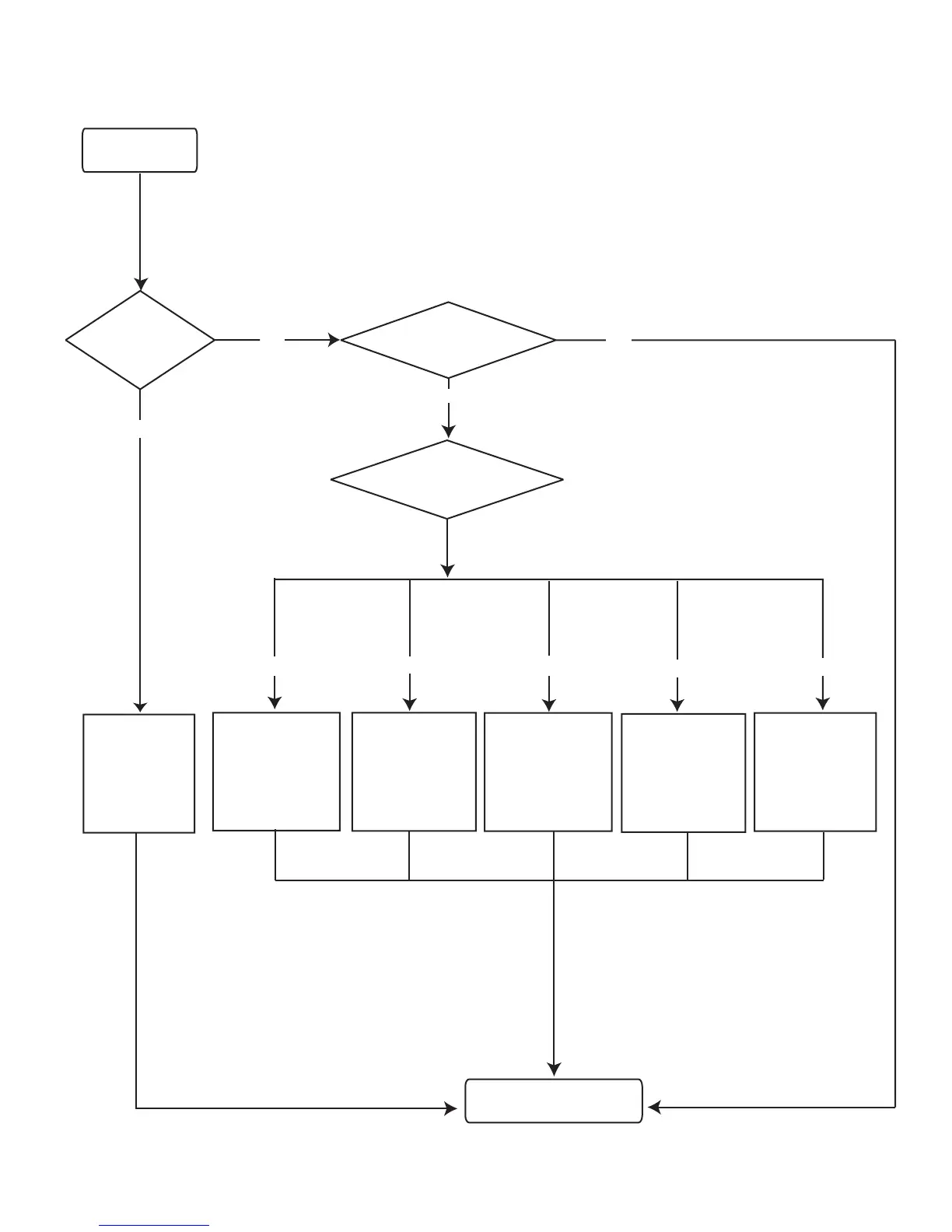
3-10. HV SERVICE FLOWCHART
Confirm:
- Ik Protector
Refer to P. 30
YES
Is the spare part on
P. 32 changed?
Is DZ Board
NO
Start
Which category part
on P. 32 changed?
NO
YES
Finished with HV service
Confirm:
- HV
- HV Protector
- Ik Protector
Refer to P. 29/30
Confirm:
- HV Protector
Refer to P. 29
Confirm:
- B+
Refer to P. 29
Confirm:
- HV
Refer to P. 29
Confirm:
- B+
- Hold Down
Refer to P. 29
Category A
Category B
Category C
Category D
Category E

Table of Contents

Related product manuals