EasyManua.ls Logo

TEL AFA4000/E - Page 127

TEL AFA4000/E
210 pages
Print Icon
To Next Page IconTo Next Page
To Next Page IconTo Next Page
To Previous Page IconTo Previous Page
To Previous Page IconTo Previous Page
Loading...
AFA4000/E VAV Airflow Controller / p.127
item
Instructions
Output Type
The 0 10 Vdc control output can be set to the following
options:
Damper:
The damper output is linearised for a
butterfly-type damper so that the output is
proportional to volume and not damper
position. The linearised output gives
increased speed of response when the sash
is opened.
This setting should be used for TEL supplied
Econ VAV dampers.
The damper output is direct and 10V = Max
volume.
Inverter:
The inverter output is proportional to
volume when used with an inverter and is
reversed so 0V = Max volume.
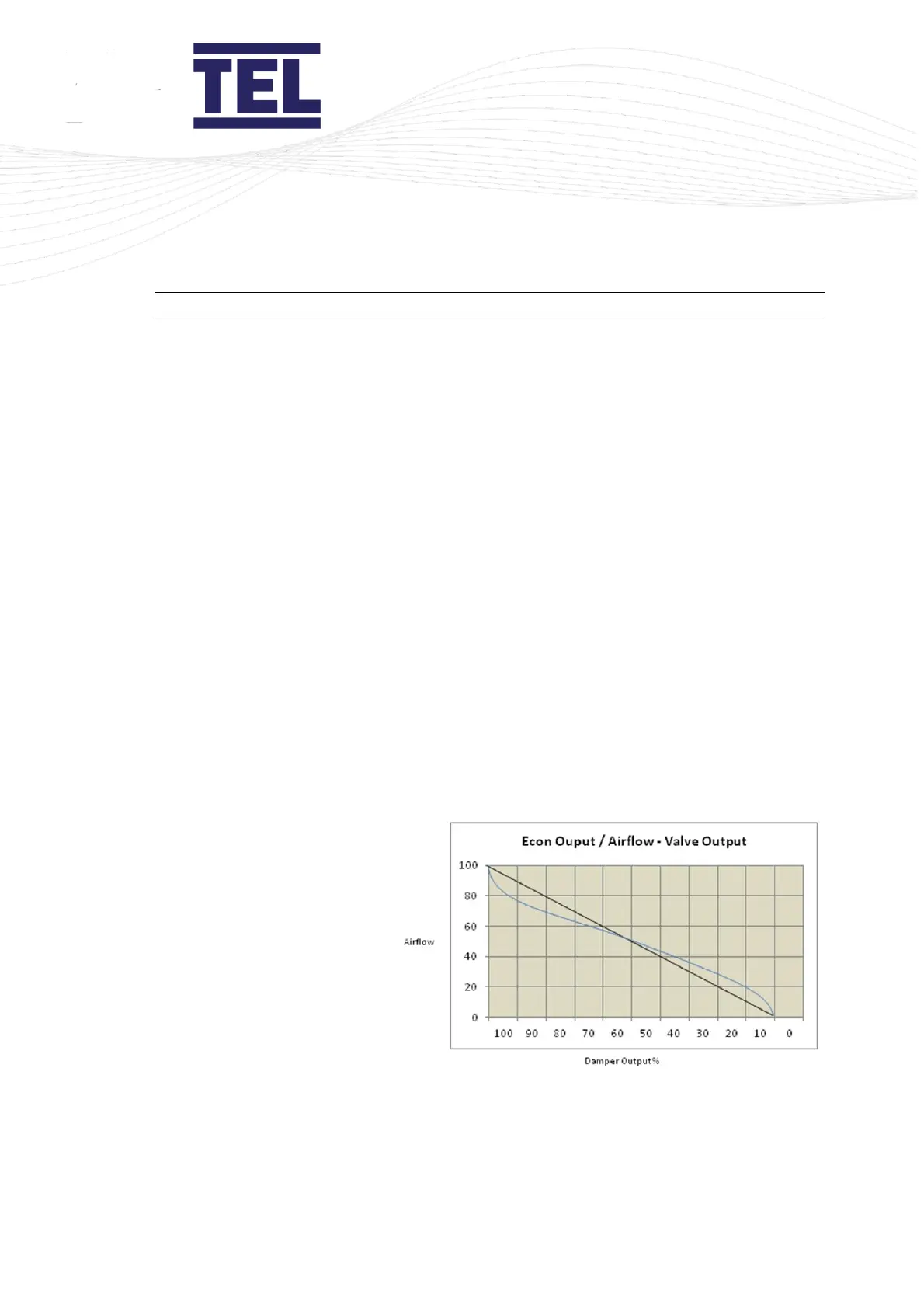
Valve:
The valve output is proportional to damper
position. For example, 50% = 45° on a 90°
actuator. The output is direct and 0V = Max
volume.
Figure 65: Typical butterfly damper curve to face velocity
(Valve Output)

Table of Contents