EasyManua.ls Logo

TEL AFA4000/E - Page 128

TEL AFA4000/E
210 pages
Print Icon
To Next Page IconTo Next Page
To Next Page IconTo Next Page
To Previous Page IconTo Previous Page
To Previous Page IconTo Previous Page
Loading...
AFA4000/E VAV Airflow Controller / p.128
item
Instructions
Output Type (cont.)
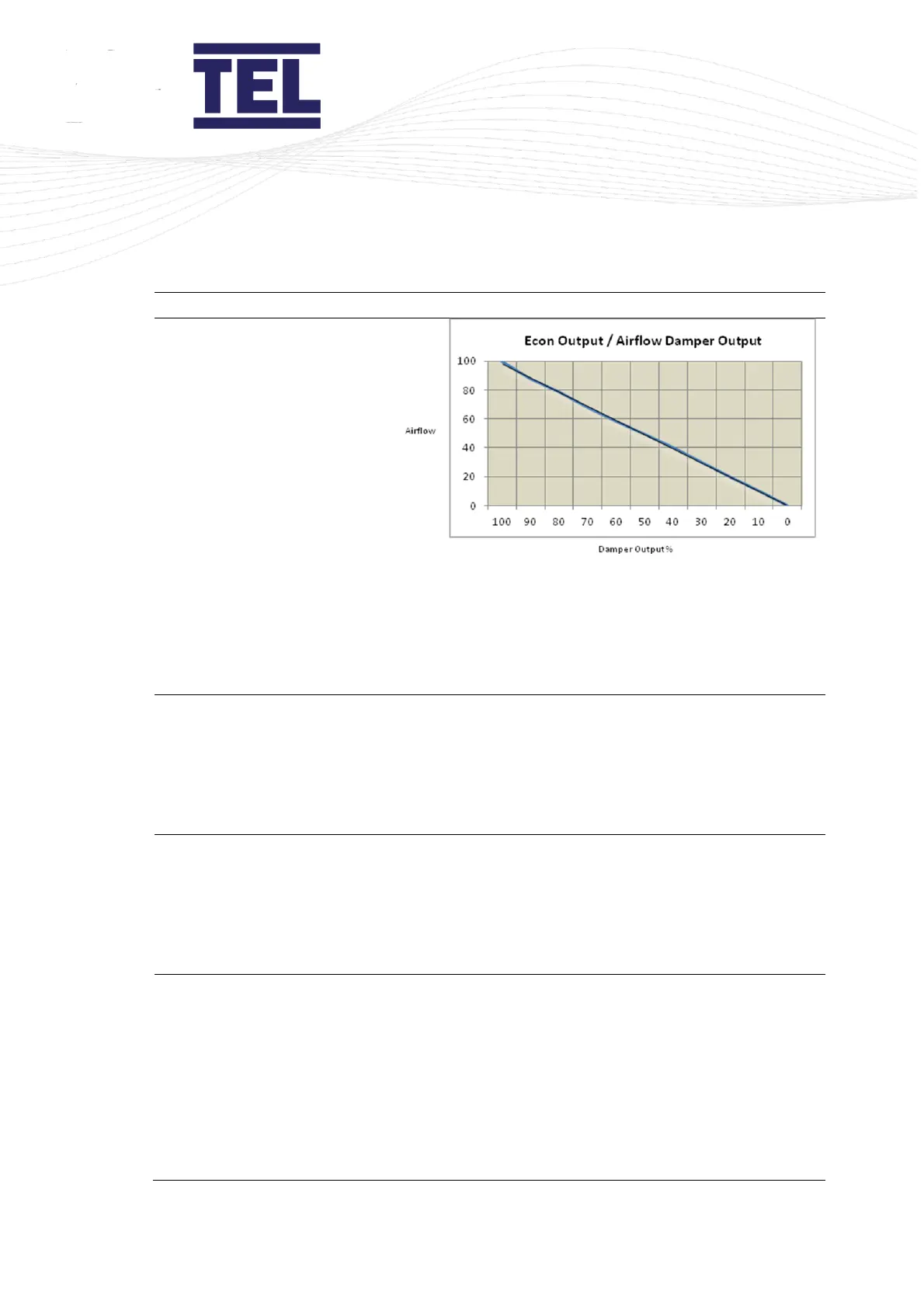
Figure 66: Typical linearised butterfly damper curve to face
velocity (Damper Output)
Note: Performance is dependent on damper and fume
cupboard leakage.
MIN Output
Used when Pushbutton III is set to Min / Run / Max.
MIN Output sets the damper or inverter to a minimum
extract volume when the fume cupboard is not in use and
the MIN function is selected.
Output range: 0 100%
MAX Output
Used when Pushbutton III is set to Min / Run / Max.
MAX Output sets the damper or inverter to a maximum
extract volume in an emergency when the MAX function is
selected.
Output range: 0 100%
Low Limit
Used to set up the minimum extract rate from the fume
cupboard in automatic VAV operation. As the sash is
lowered, the damper progressively closes, or extract fan
slows down, to reduce the extract volume and maintain the
set point face velocity. The Low Limit sets a minimum
damper position to prevent the volume reducing too far.
As the sash is lowered, the displayed face velocity will be at
the set point value until the damper reaches the Low Limit.

Table of Contents