EasyManua.ls Logo

Valleylab Force 2 - Page 54

Valleylab Force 2
58 pages
Print Icon
To Next Page IconTo Next Page
To Next Page IconTo Next Page
To Previous Page IconTo Previous Page
To Previous Page IconTo Previous Page
Loading...
Classification
A-8 Force 2 User’s Guide
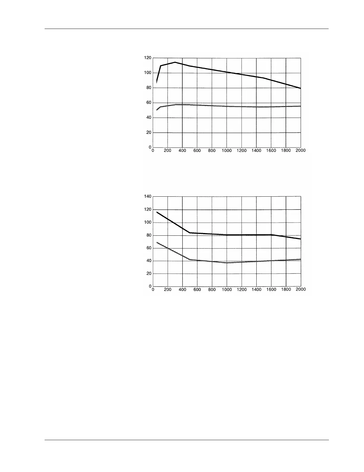
PCH Generator Typical Output
Power vs Load—Monopolar Coag
Modes
Coag
Low Voltage Coag
Generator
Power
Setting
Generator
Power
Setting
Output Power (watts)
Impedance (ohms)
Impedance (ohms)
Output Power (watts)
250 W
125 W
120 W
60 W

Table of Contents

Related product manuals