EasyManua.ls Logo

Valleylab Force 2 - Page 55

Valleylab Force 2
58 pages
Print Icon
To Next Page IconTo Next Page
To Next Page IconTo Next Page
To Previous Page IconTo Previous Page
To Previous Page IconTo Previous Page
Loading...
Classification
Force 2 User’s Guide A-9
Technical Specifications
Bipolar measurements are made using bipolar forceps on the insulating
surface referred to in IEC 60601-2-2, Figure 104.
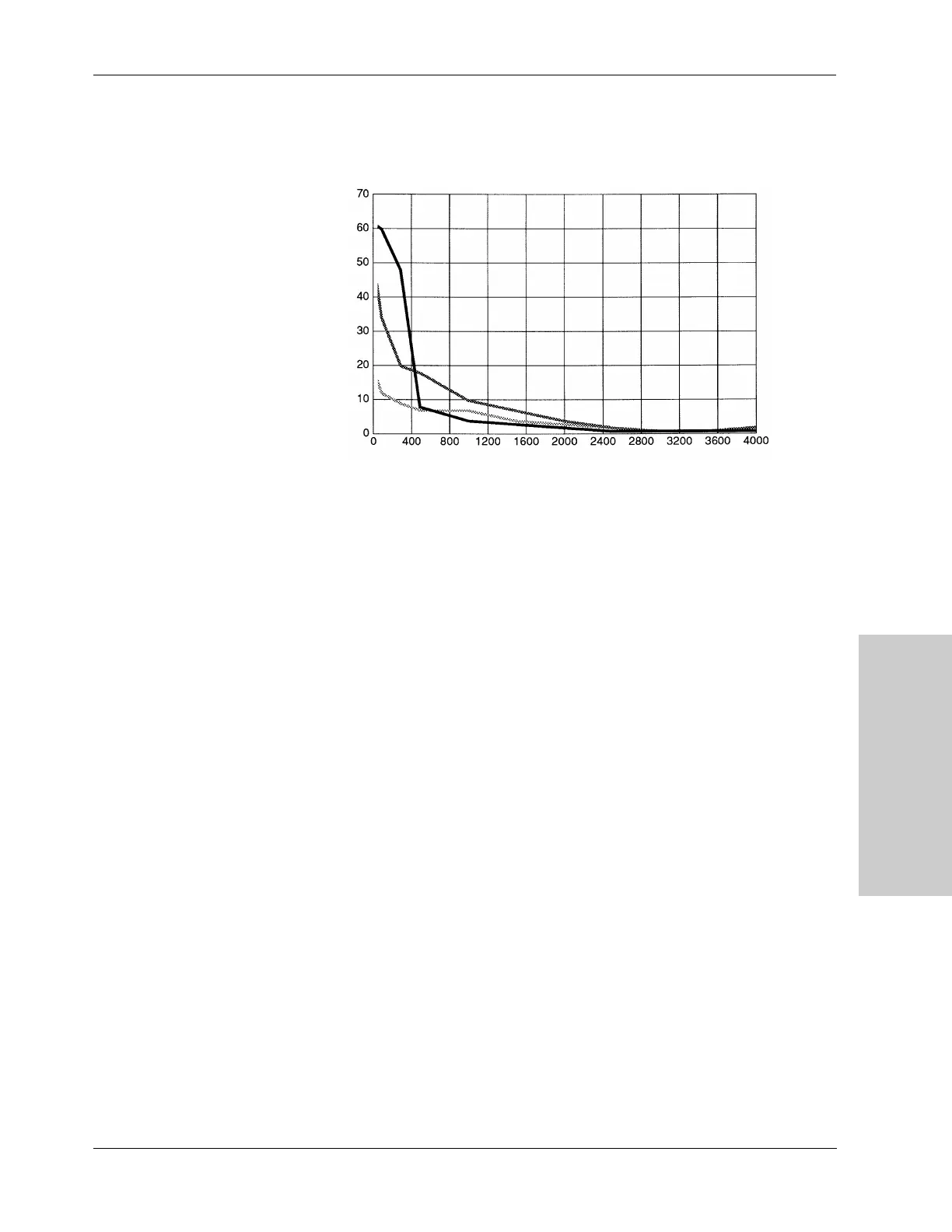
PCH Generator Typical Output Power
vs Load—Bipolar Mode
Bipolar
Generator
Power
Setting
Output Power (watts)
Impedance (ohms)
70 W
35 W
15 W

Table of Contents

Related product manuals