EasyManua.ls Logo

Vitrek V4 - Page 8

Vitrek V4
64 pages
Print Icon
To Next Page IconTo Next Page
To Next Page IconTo Next Page
To Previous Page IconTo Previous Page
To Previous Page IconTo Previous Page
Loading...
Vitrek V4 – Electrical Safety Tester USER MANUAL
7
Operating Environment: Indoor use, Altitude up to 6500ft (2000m). Installation Category II. Pollution
Degree 2
Operating Temperature: 0°C to 40°C, 80% RH max.
Storage Temperature: -10°C to 70°C, 70% RH max
Dimension: 17.6”L x 13”W x 5.9”H, 446(L) x 330(W) x 149(H) mm
Weight: 30 lbs (14kg) net, 34 lbs (16 kg) ship
Accessories: NIST certification, TL-2050 Test Leads, Instruction Manual and power cord
Accuracy: Stated specifications apply for 1 year at 23 °C ± 5 °C
Calibration: Certificate of calibration, traceable to NIST provided
Compliance: CE mark certified to EN61010 and EMC directives EN50081-1 & EN50082-2
QuickTest Software Option QT-2: Bundled test automation software, with PC GPIB interface and cable.
It has an easy to load graphical test sequence development and operating environment. Provides time/date,
operator, test parameters, and test results for review, printout or export to database program.
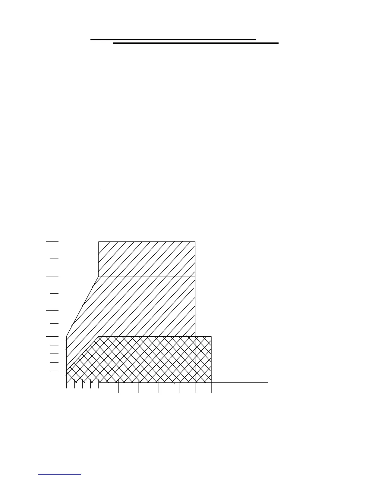
Figure 2-1
AC Hi-Pot
Spec 180sec
AC Hi-Pot Spec
Continuous
DC Hi-Pot Spec
Continuous
40
35
0
2
4
6
8
10
15
20
25
30
mA
.1 .5 1kV 2 3 4 5 6 kV

Related product manuals