EasyManua.ls Logo

Wöhner MOTUS - Anhang; Appendix; Annexe; Appendice

Wöhner MOTUS
Print Icon
To Next Page IconTo Next Page
To Next Page IconTo Next Page
To Previous Page IconTo Previous Page
To Previous Page IconTo Previous Page
Loading...
79Revision 6, Stand 05.2017
DE | GB | F | I | ES | RU
du [FIT] dangerous, undetectable / опасное, неопределяемое
17
SFF [%] Safe Failure Fraction / доля безопасных сбоев
99
DCS [%] Diagnostic coverage safe / диагностическое покрытие для безопасных сбоев
42,3
DC [%] Diagnostic coverage / диагностическое покрытие сбоев
93,3
Sicherheitslevel gemäß / Safety level as per / Niveau de sécurité selon /
Livello di sicurezza secondo / Nivel de seguridad según / Уровень безопасности согласно
IEC/CEI 61508-1: SIL 2
9. Anhang | Appendix | Annexe | Appendice | Apéndice | Приложение
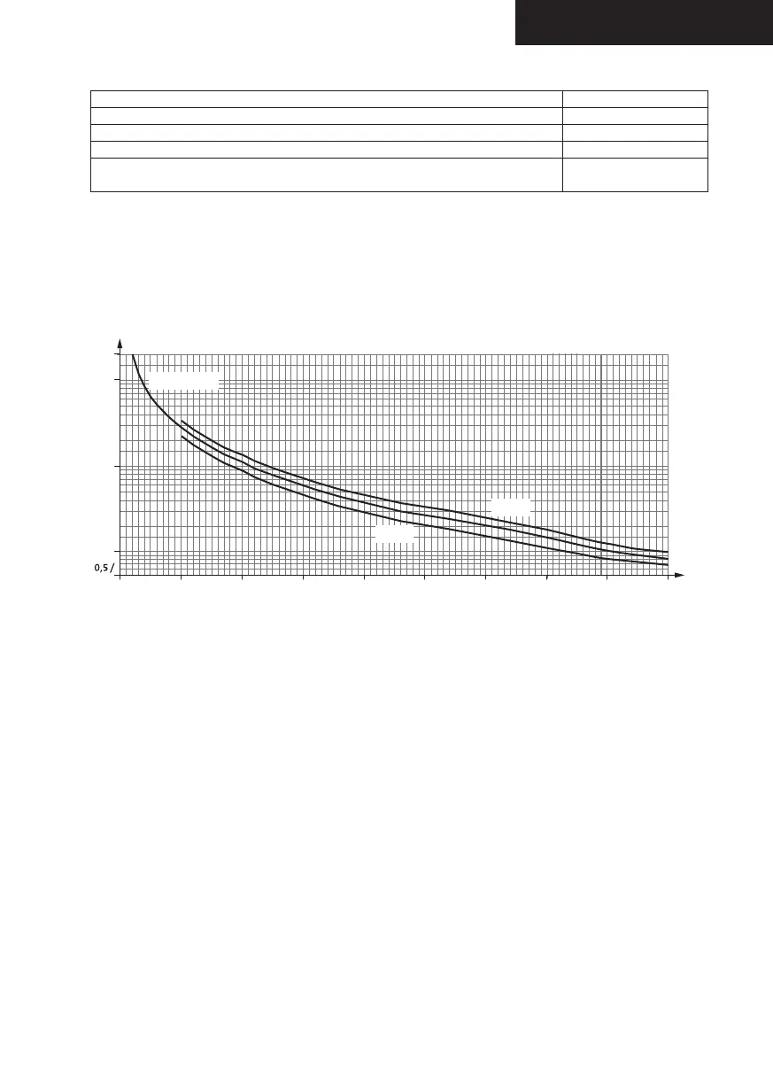
Auslösekennlinie bei 20 m °C | Trigger characteristic curve at 20°C | Courbe de déclenchement
à 20°C | Curva di intervento a 20°C | Curva característica de disparo para 20°C | Характеристи-
ки срабатывания при 20°C
1
40
6
10
2
3
4
20
100
200
60
30
0.5
[1] Class 10 A
Max.
Min.
234 81 79
10
65
N
I/I
[ s ]
Deratingkurven bei 100 % Einschaltdauer | Derating curves for 100 % operating time |
Courbes de déclassement à 100 % de la due d’enclenchement | Curve di derating con
carico permanente al 100 % (ulteriori dati su richiesta) | Curvas derating para duración
de conexión del 100 % | Кривые изменения характеристик при 100 %-ной
продолжительности включения
In den Deratingkurven sind alle zugelassenen Sicherungen (s. Kapitel 6.) berücksichtigt / All permitted fuses (see
chapter 6) are taken into account in the derating curves / Les courbes de déclassement prennent en compte tous
les fusibles homologués (voir le chapitre 6) / Nelle curve di derating sono considerati tutti i fusibili ammessi (ved.
Capitolo 6) / En las curvas derating se han tenido en cuenta todos los fusibles autorizados (véase el capítulo 6) / На
кривых изменений характеристик учтены все допущенные к эксплуатации предохранители (см. главу 6).
[s] Auslösezeit / Release time / Temps de déclenchement / Tempo di intervento / Tiempo de disparo / Время срабатывания при
I/I
N
Überstromfaktor (Das Verhältnis zwischen dem tatsächlichen Strom und dem parametrierten Nennstrom) / Overcurrent factor
(The ratio between the actual current and the parameterized nominal current) / Facteur de surcharge (Le rapport existant
entre l’intensité effective et l’intensité nominale paramétrée) / Fattore di sovracorrente (rapporto tra la corrente effettiva e la
corrente nominale impostata) / Factor de sobrecorriente (Relación entre la corriente real y la corriente nominal parametrizada) /
Кратность термической устойчивости (Соотношение между фактическим током и параметрированным номиналь-
ным током)

Table of Contents