EasyManua.ls Logo

YASKAWA M Series - Page 42

YASKAWA M Series
81 pages
Print Icon
To Next Page IconTo Next Page
To Next Page IconTo Next Page
To Previous Page IconTo Previous Page
To Previous Page IconTo Previous Page
Loading...
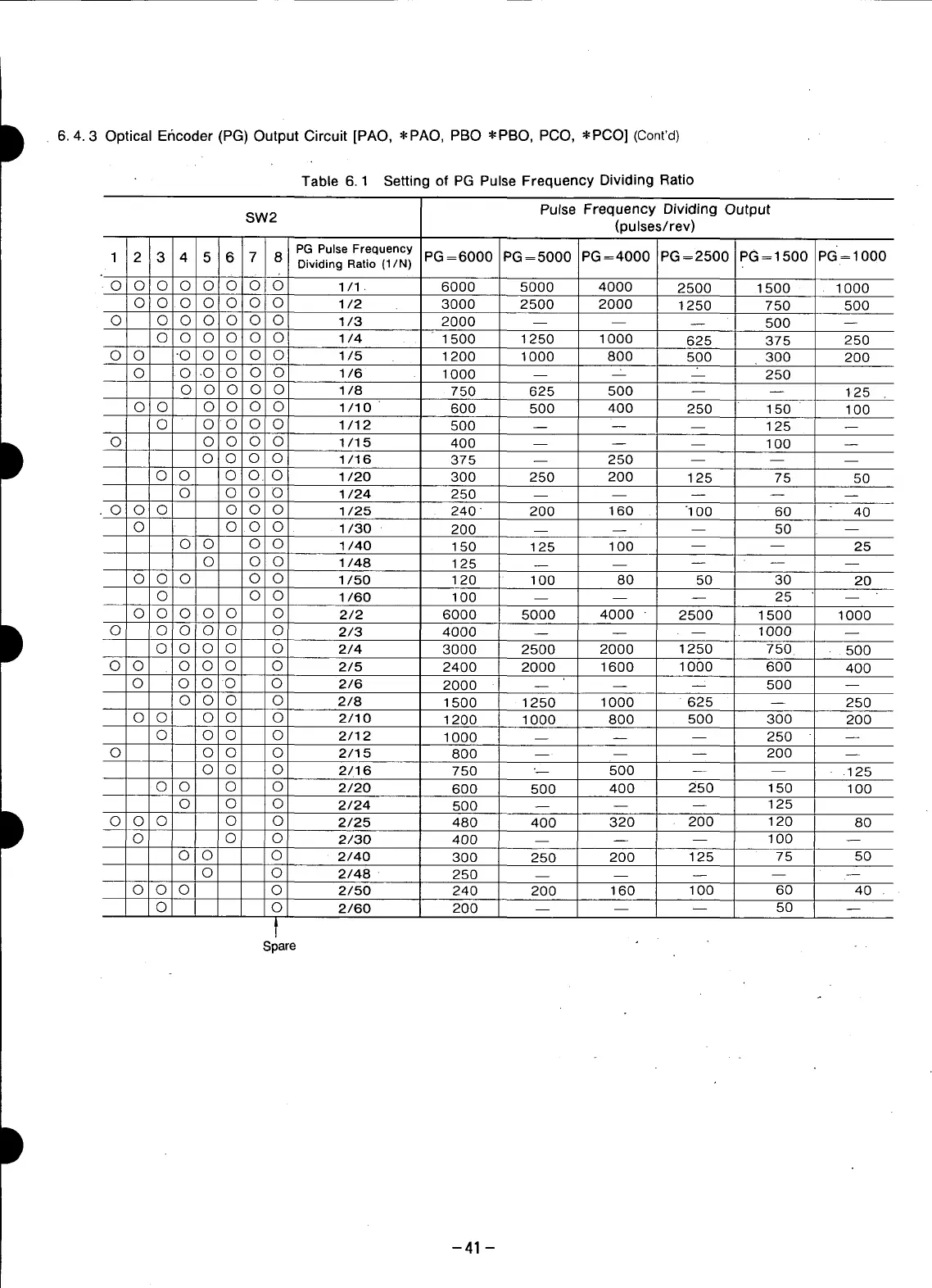
I 6.4.3 Optical Er_coder (PG) Output Circuit [PAO, _PAO, PBO _PBO, PCO, ,I,PCO] (Conrd)
Table 6.1 Setting of PG Pulse Frequency Dividing Ratio
SW2 Pulse Frequency Dividing Output
(pulses/rev)
1 2 3 4 5 6 7 8 PG Pulse Frequency PG=6000 PG=5000 PG=4000 lpG=2500 PG=1500 PG=looo
Dividing Ratio (l/N)
0 0 0 0 0 0 0 0 1/1. 6000 5000 4000 2500 1500 1000
0 0 0 0 0 0 0 1/2 3000 2500 2000 1250 750 500
0 0 0 0 0 0 0 1/3 2000 -- -- -- 500 --
0 0 0 0 0 0 1/4 1500 1250 1000 625 375 250
0 0 "0 0 0 0 0 1/5 1200 1000 800 500 300 200
0 0 .0 0 0 0 1/6 1000 -- " . -- . 250
0 0 0 0 0 1/8 750 625 500 .... 125
0 0 0 0 0 0 1/10 600 500 400 250 150 100
0 0 0 0 0 1/12 500 ..... 125 --
Oi 0 0 0 0 1/15 400 ..... 100 --
I 0 0 0 0 1/16 375 250 ......
0 0 00. 0 1/20 300 250 200 125 75 50
0 0 0 0 1/24 250 ..........
Oi 0 0 0 0 0 1/25 240 200 160 100 60 40
0 0 0 0 1/30 200 ' 50 --
0 0 0 0 1/40 150 125 100 ..... 25
0 0 0 1/48 125 ....... " -- ' --
0 0 0 0 0 1/50 120 100 80 50 30 20
0 0 0 1/60 100 ....... 25 -- "
0 0 0 0 0 0 2/2 6000 5000 4000 2500 1500 1000
I 0 0 0 0 0 0 2/3 4000 ........ . 1000 , --
0 0 0 0 0 2/4 3000 2500 2000 1250 750. 500
© © © © © © 2/5 2400 2000 1600 1000 600 400
0 0 0 0 0 2/6 2000 ..... 500 . --
0 0 0 0 2/8 1500 1250 1000 625 -- 250
0 0 0 0 0 2/10 1200 1000 800 500 300 200
0 0 0 0 2/12 1000 ..... 250 . --
0 0 0 0 2/1 5 800 ..... 200 . --
0 0 0 2,/16 750 "--- 500 -- -- .125
0 0 0 0 2/20 600 500 400 250 150 100
0 0 0 2/24 500 -- -- -- 125
t 0 0 0 0 0 2/25 480 400 320 200 120 80
0 0 0 2/30 400 -- -- -- 1O0 --
© © © 2/40 300 250 200 125 75 50
0 0 2/48 250 ....
0 0 0 0 2/50 240 200 160 100 60 40 .
0 0 2/60 200 -- -- -- 50 --
Spare -
-41 -
J

Related product manuals