EasyManua.ls Logo

ADC PHASE 6 OPL - Timed (Manual) Drying Cycle

ADC PHASE 6 OPL
68 pages
Print Icon
To Next Page IconTo Next Page
To Next Page IconTo Next Page
To Previous Page IconTo Previous Page
To Previous Page IconTo Previous Page
Loading...
35
REAdY
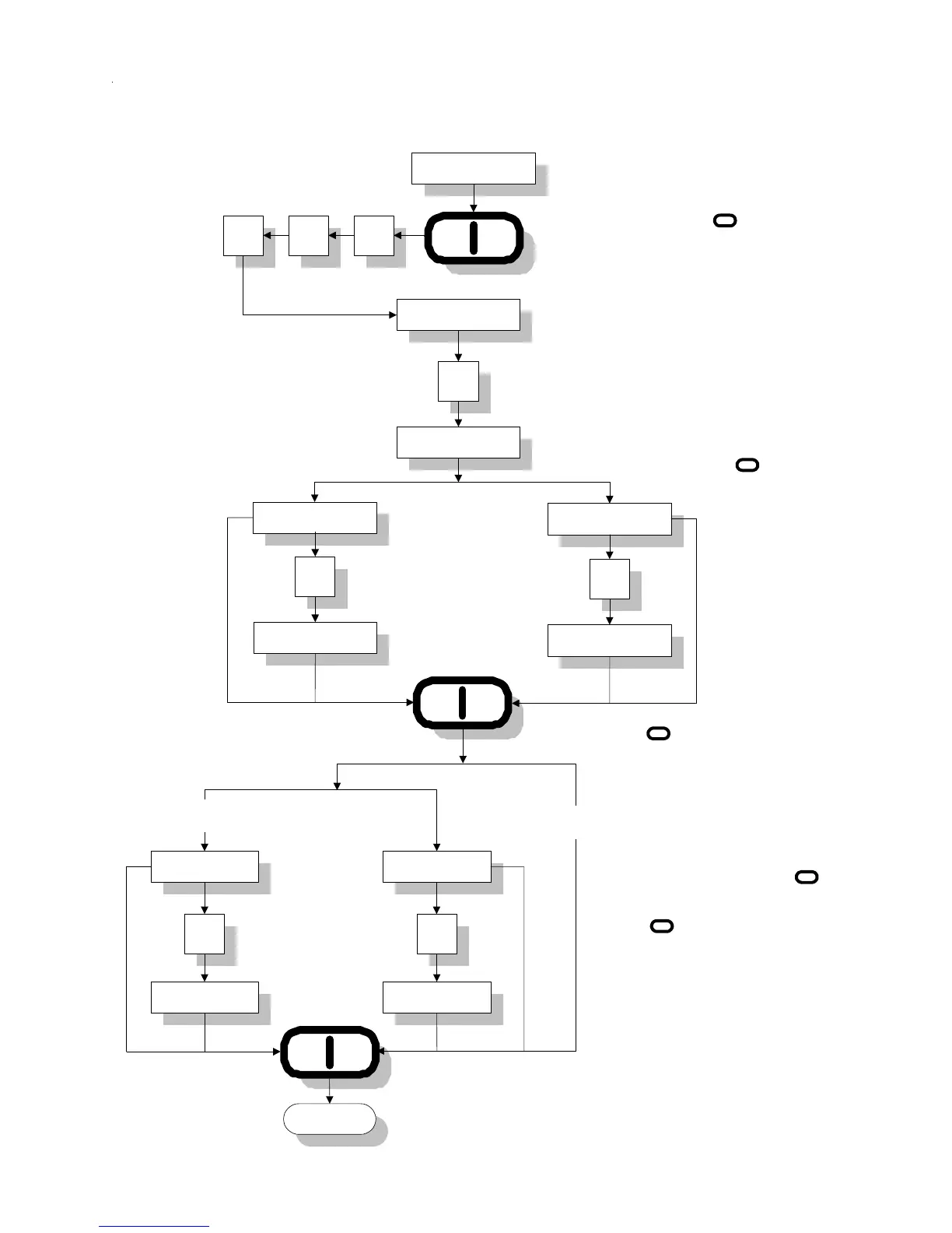
Preprogrammed Cycle Programming
Timed (Manual) Drying Cycle
000
PROGRM
D
(Program Mode)
To enter program mode, press the
"ENTER/START" Key once,
and immediately press the "0" Key
three (3) times within two (2)
seconds.
CYCLEd
MANUAL
AUTO
0
MANUAL
REV No REV
0 0
No REV REV
Select preprogrammed cycle to be changed (i.e., D).
Display will read "CYCLEd" for 1 second, and then
"AUTO" or "MANUAL". Cycle between automatic
and manual by pressing the "0" Key. If no change is
required press "ENTER/START" Key.
or
For Non-Reversing models press
"ENTER/START" Key.
Reversing Models:
Display will read "REVERSING" or
"NON-REVERSING" (single
direction rotation). If no change,
press "ENTER/START" Key.
If a change is necessary, press the
"0" Key, and then "ENTER/START"
Key.
Continued
Reversing
Models
or
0
AUTO
I
I
I
I
I
Non-Reversing
Models

Table of Contents