EasyManua.ls Logo

Alliance Laundry Systems SWT520*M - Washer Will Not Fill (Pressure Switch Diagnostic)

Alliance Laundry Systems SWT520*M
130 pages
Print Icon
To Next Page IconTo Next Page
To Next Page IconTo Next Page
To Previous Page IconTo Previous Page
To Previous Page IconTo Previous Page
Loading...
98 39201
© Copyright, Alliance Laundry Systems LLC – DO NOT COPY or TRANSMIT
Troubleshooting (NetMaster Models)
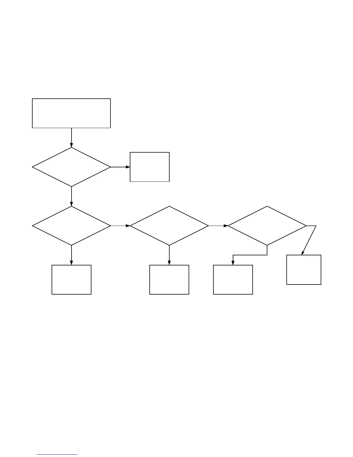
52. Coins Ignored When Entered
Coins Ignored When Entered.
Start Coin Drop Diagnostic Test. Refer
to programming manual.
Does the count on the
display increment
properly after entering
coins?
Reset control to
ready mode.
Yes
No
Is "H7" connector
properly seated on the
control board?
No
Properly seat
connection and
conduct diagnostic
test again.
Yes
From the coin drop, is
the 3-pin plug properly
connected?
Yes
No
Properly reseat
connection and
conduct diagnostic
test again.
Are the wires exiting the
coin drop optical sensor
cracked or broken?
Replace electronic
control.
Replace the
coin drop.
Yes
No
(1) (2) (3)
TLW281S

Table of Contents

Related product manuals