EasyManua.ls Logo

Alliance Laundry Systems SWT520*M - Washer over Fills (Pressure Switch Open)

Alliance Laundry Systems SWT520*M
130 pages
Print Icon
To Next Page IconTo Next Page
To Next Page IconTo Next Page
To Previous Page IconTo Previous Page
To Previous Page IconTo Previous Page
Loading...
50 39201
© Copyright, Alliance Laundry Systems LLC – DO NOT COPY or TRANSMIT
Troubleshooting (Coin Slide Operated/Non-Metered Models with “8” or “9” in 4th Character of Model No.)
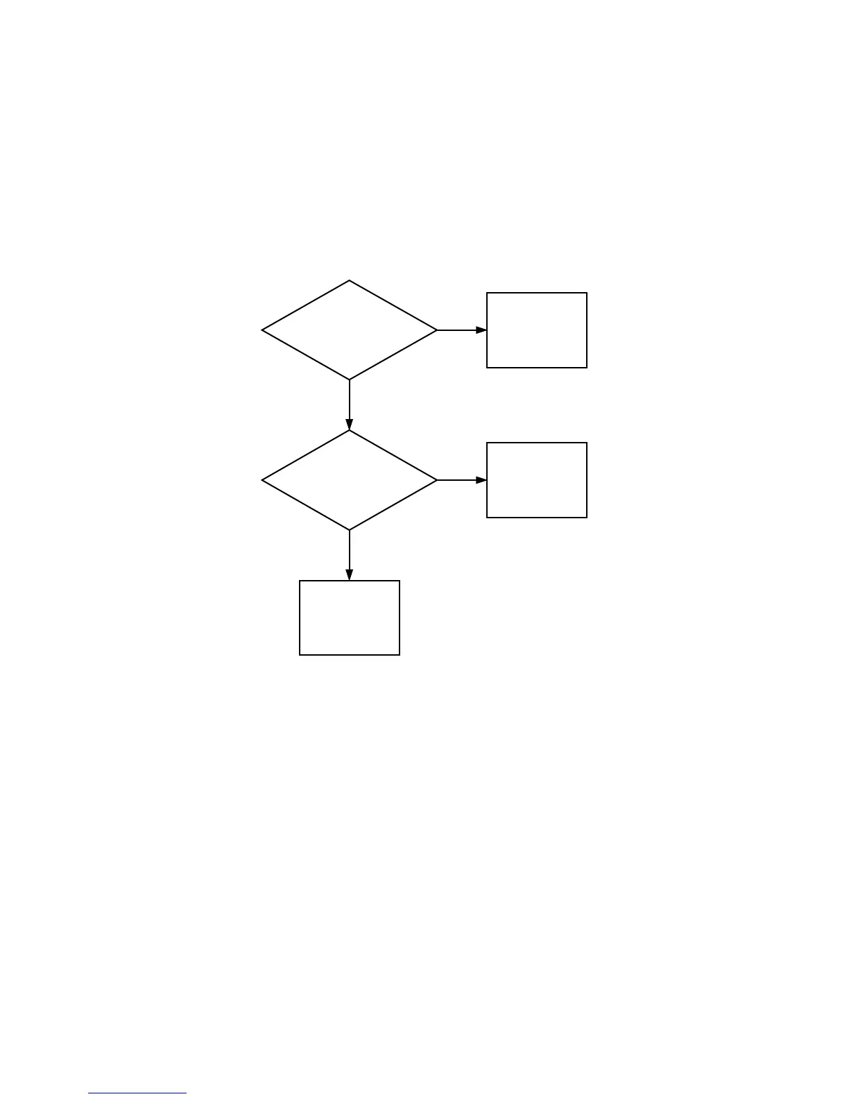
27. Washer Over Fills (Pressure Switch Open)
With power
disconnected, does
the unit still over
flow?
Washer Over Fills.
Is there voltage
on either the orange
wire of the hot valve
or gray wire of the cold
valve to neutral?
Replace mixing
valve.
Check for
incorrect or
damaged wiring
between water
valve and L1
Yes
No
Yes
No
Reconnect
power.
(1)
Unit works
properly.
TLW287S

Table of Contents

Related product manuals