EasyManua.ls Logo

Alliance Laundry Systems SWT520*M - No Motor Run - Spin Analysis

Alliance Laundry Systems SWT520*M
130 pages
Print Icon
To Next Page IconTo Next Page
To Next Page IconTo Next Page
To Previous Page IconTo Previous Page
To Previous Page IconTo Previous Page
Loading...
68 39201
© Copyright, Alliance Laundry Systems LLC – DO NOT COPY or TRANSMIT
Troubleshooting (EDC Models)
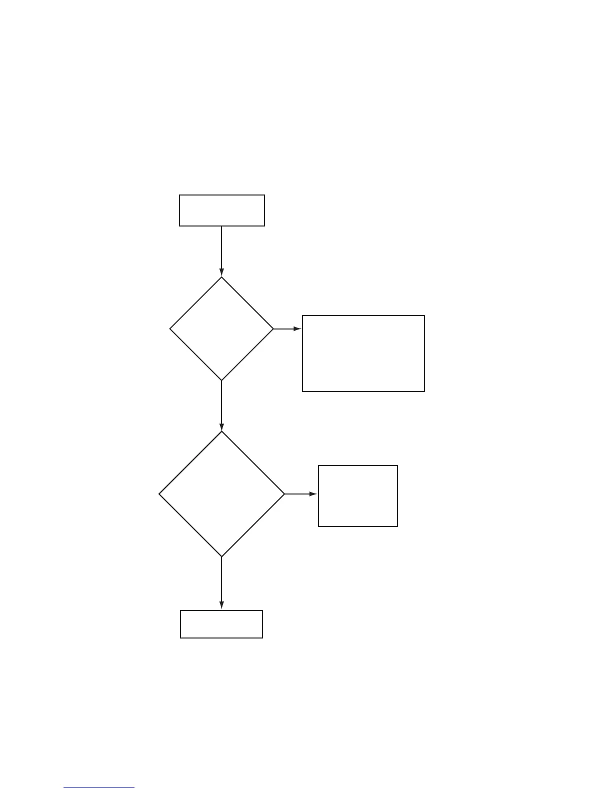
37. No Motor Run — Spin Analysis
The washer will
not spin.
Replace electronic
control board.
Open
control
panel
1) Open lid and close
to reset switch.
2) Check lid/unbalance
switch correct wiring.
3) Possible thermal overload
on motor.
NO
NO
YES
YES
Is the
"unbalance"
indicator flashing
on the electronic
control?
(1)
Check
voltage at
electronic control
board
BLU "H3-4" to "H3-6"
BRN "H3-2" to "H3-6",
is there
voltage?
TLW375S
NOTE: All checks in this flow chart
are based on the assumption a
high speed agitate and spin cycle
have been selected.
(#) Numbers next to voltage checks
correspond to the locations marked
on the wiring schematic.
After checking
for correct wiring,
refer to Motor Test
Procedure section
or Motor Does Not
Run paragraph.

Table of Contents

Related product manuals