EasyManua.ls Logo

Alliance Laundry Systems SWT520*M - Coins Ignored When Entered

Alliance Laundry Systems SWT520*M
130 pages
Print Icon
To Next Page IconTo Next Page
To Next Page IconTo Next Page
To Previous Page IconTo Previous Page
To Previous Page IconTo Previous Page
Loading...
76 39201
© Copyright, Alliance Laundry Systems LLC – DO NOT COPY or TRANSMIT
Troubleshooting (MDC Models)
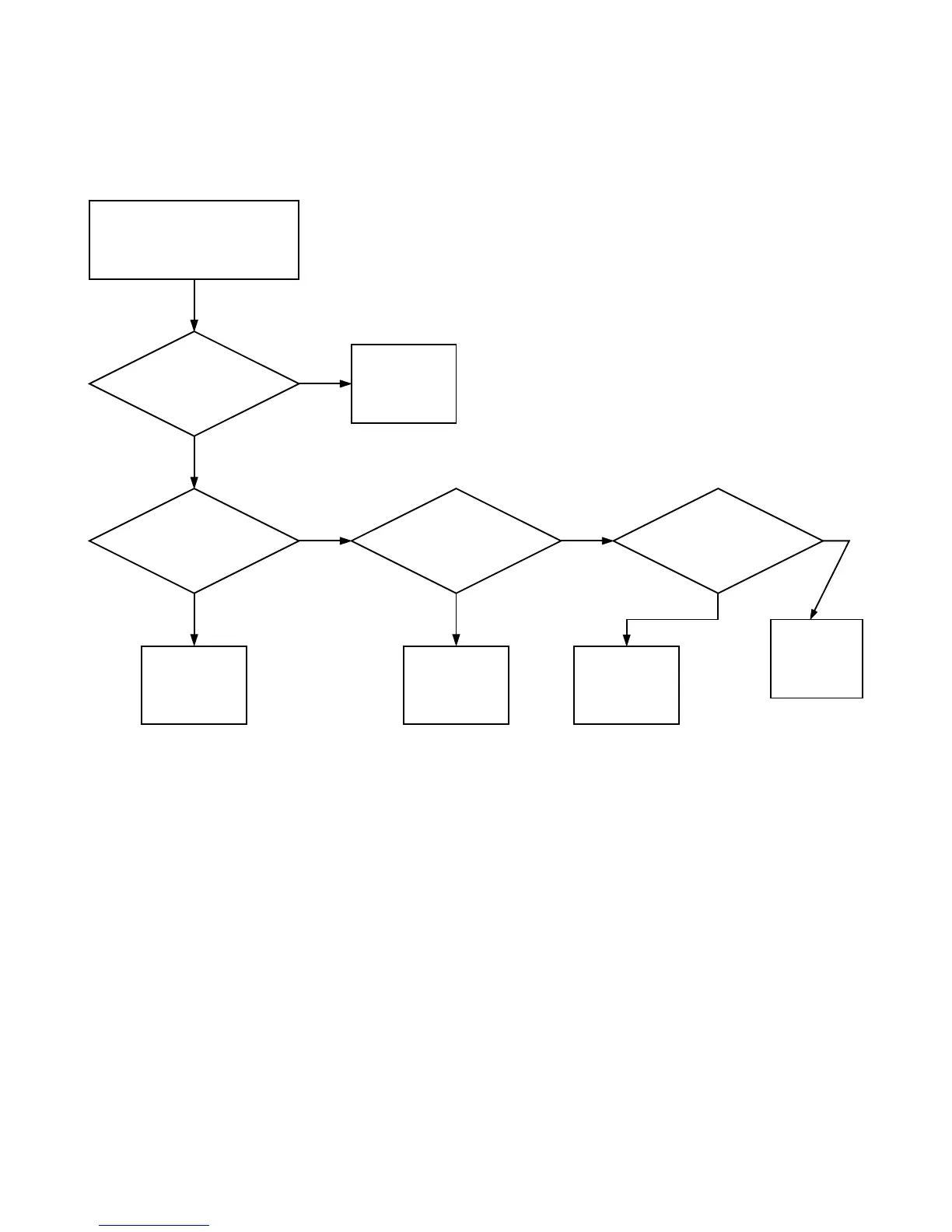
42. Coins Ignored When Entered
Enter Production Test Cycle, Coin Drop
Test. Refer to programming manual.
Does the count on the
display increment
properly after entering
coins?
Reset control to
ready mode.
Yes
No
Is "H3" connector
properly seated on the
control board?
No
Properly seat
connection and
conduct test cycle
again.
Yes
From the coin drop, is
the 3-pin plug properly
connected?
Yes
No
Properly reseat
connection and
conduct test cycle
again.
Are the wires exiting the
coin drop optical sensor
cracked or broken?
Replace electronic
control.
Replace the
coin drop.
Yes
No
(1) (2) (3)
TLW300S

Table of Contents

Related product manuals