EasyManua.ls Logo

Bentone MVD 210 - Setting for Nozzle Assembly and Air Damper

Bentone MVD 210
52 pages
Print Icon
To Next Page IconTo Next Page
To Next Page IconTo Next Page
To Previous Page IconTo Previous Page
To Previous Page IconTo Previous Page
Loading...
9 Bentone BFG 1
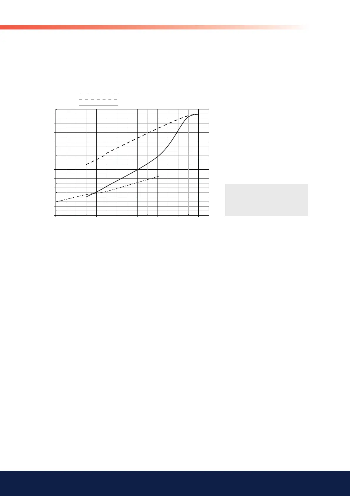
!
Scale value valid at
0 mbar in furnace
pressure.
0,0
2,0
4,0
6,0
8,0
10,0
12,0
14,0
16,0
18,0
20,0
22,0
25 35 45 55 65 75 85 95
160303-630
kW
Scale
Burner output
Air damper, first stage
Air damper, second stage
Brake plate adjustment
2.7 Setting for nozzle assembly and air damper
Basic settings should only be seen as setting values to get burner to start.
Once the burner has started and established ame, it is necessary to adjust the
settings so that they are adapted to the installation and the fuel used.

Related product manuals