EasyManua.ls Logo

Beretta POWER PLUS - Page 13

Beretta POWER PLUS
72 pages
Print Icon
To Next Page IconTo Next Page
To Next Page IconTo Next Page
To Previous Page IconTo Previous Page
To Previous Page IconTo Previous Page
Loading...
13
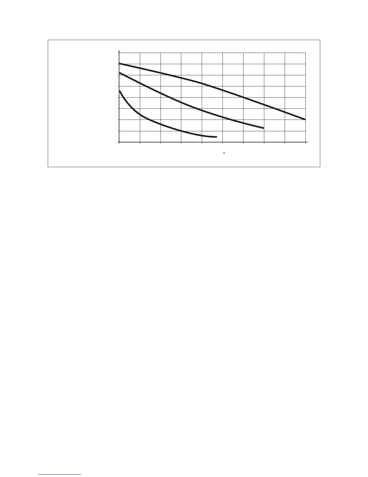
Injection pump
0
RESIDUAL HEAD (MBAR)
I
II
III
100
200
300
400
500
600
700
0123456789
FLOW-RATE (m /h)
800