EasyManua.ls Logo

Bosch AVENAR panel - Page 39

Bosch AVENAR panel
76 pages
Print Icon
To Next Page IconTo Next Page
To Next Page IconTo Next Page
To Previous Page IconTo Previous Page
To Previous Page IconTo Previous Page
Loading...
AVENAR panel Planning | en 39
Bosch Sicherheitssysteme GmbH
System manual
2022-07 | 5.0 | F.01U.378.910
0
200
400
600
800
1000
1200
1400
1600
1800
2000
2200
2400
2600
2800
3000
3200
0 5 10 15 20 25 30 35 40 45 50 55 60 65 70 75 80 85 90 95 100 105 110 115 120 125 130
N
L [m]
0,7mA
1mA
1,5mA
20mA
10mA
7,5mA
5mA
2mA
4mA
4,5mA
2,5mA
3mA
3,5mA
b = 127
1,25mA
0,4mA
300mA
a
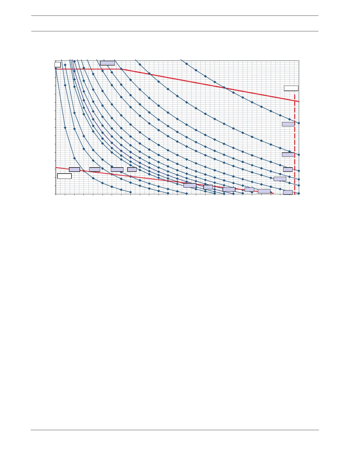
Figure3.3: Diagram for determining the maximum achievable cable length: LSN classic elements with LSN 1500 A
L = cable length in meters
N = number of LSN classic elements
a = 3000m limit
b = maximum possible number of LSN classic elements = 127

Related product manuals