EasyManua.ls Logo

Cisco IE-3000-8TC

Cisco IE-3000-8TC
874 pages
To Next Page IconTo Next Page
To Next Page IconTo Next Page
To Previous Page IconTo Previous Page
To Previous Page IconTo Previous Page
Loading...
36-6
Cisco IE 3000 Switch Software Configuration Guide
OL-13018-03
Chapter 36 Configuring QoS
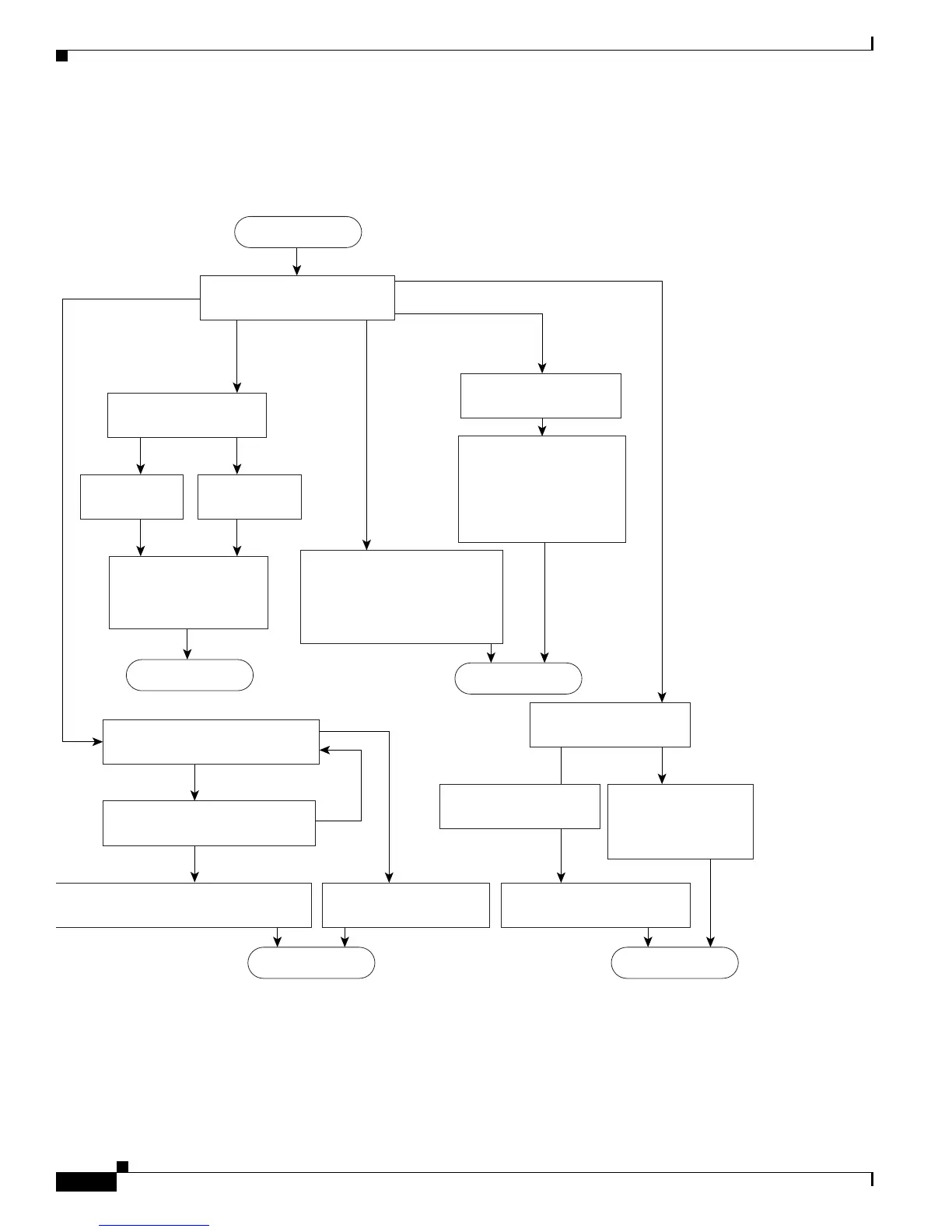
Understanding QoS
After classification, the packet is sent to the policing, marking, and the ingress queueing and scheduling
stages.
Figure 36-3 Classification Flowchart
86834
Generate the DSCP based on
IP precedence in packet. Use
the IP-precedence-to-DSCP
map. Use the DSCP value to
generate the QoS label.
Assign default
port CoS.
Ye s
Ye s
No
No
No
Ye s No
(Optional) Modify the
DSCP by using the
DSCP-to-DSCP-mutation
map. Use the DSCP
value to generate
the QoS label.
Read ingress interface
configuration for classification.
Assign DSCP identical
to DSCP in packet.
Check if packet came
with CoS label (tag).
Use the CoS value to
generate the QoS label.
Generate DSCP from
CoS-to-DSCP map.
Use the DSCP value to
generate the QoS label.
Ye s
Read next ACL. Is there
a match with a "permit" action?
Assign the DSCP or CoS as specified
by ACL action to generate the QoS label.
Assign the default
DSCP (0).
Are there any (more) QoS ACLs
configured for this interface?
Check if packet came
with CoS label (tag).
Use CoS
from frame.
Start
Tr ust CoS (IP and non-IP traffic).
IP and
non-IP
traffic
Tr ust DSCP or
IP precedence
(non-IP traffic).
Tr ust IP
precedence
(IP traffic).
Tr ust DSCP (IP traffic).
DoneDone
Done
Done
Assign the default port
CoS and generate a
DSCP from the
CoS-to-DSCP map.
Generate the DSCP by using
the CoS-to-DSCP map.

Table of Contents

Other manuals for Cisco IE-3000-8TC

Related product manuals