EasyManua.ls Logo

CPS SCA25KTL-DO/US-208 - PV Voltage Derating Graph

CPS SCA25KTL-DO/US-208
148 pages
Print Icon
To Next Page IconTo Next Page
To Next Page IconTo Next Page
To Previous Page IconTo Previous Page
To Previous Page IconTo Previous Page
Loading...
139
2) When the volt-watt function is enable, the grid voltage is within
100%~106% (Un ~ 1.06*Un) of the Rated Output Voltage, the inverter
output power (Pn) may reach 100%. When the grid voltage is lower than
the Rated Output Voltage or more than 106%Un, the inverter will limit the
AC Output Current and the output power (Pn) will begin to derate, shown
in Figure 10-3-2.
20%
40%
60%
80%
100%
Po/Pn
0.88*Un Un U
1
U
2
U
H
Grid Voltage (Vac)
volt-watt function enable
P1
P2
100.0%~110.0% Settable
Figure 10-3-2 SCA25KTL-DO/US-208 Derating Curve of Grid Voltage
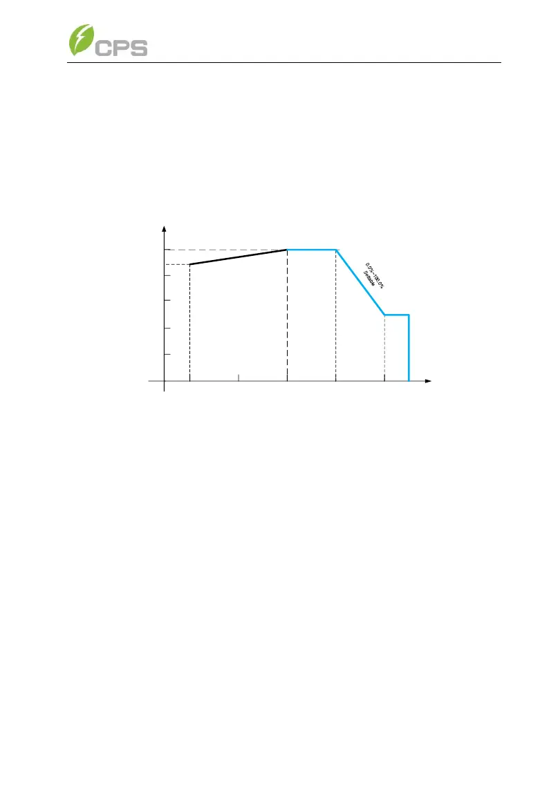
10.3.4 PV Voltage Derating Graph
When the PV voltage is lower than 480V or higher than 850V, the
inverter begins derating. Derating curve of PV input voltage are as
shown in Figure 10-4.

Table of Contents

Related product manuals